INTRODUCTION
Lithium-ion (Li-ion) batteries have become a cornerstone of modern energy storage, playing a pivotal role in electric vehicles (EVs), renewable energy integration, and smart grid applications [1,2]. Their widespread adoption is driven by their high energy density, long cycle life, and relatively low self-discharge rate, making them the preferred choice for efficient and sustainable energy storage systems. However, optimizing their performance requires precise State of Charge (SoC) estimation, a critical metric that determines the available battery capacity at any given moment [3,4]. Accurate SoC estimation is essential for energy management, operational safety, and predictive maintenance, particularly in high-de-mand applications such as EVs, aerospace systems, and grid-scale energy storage [5].
Despite significant advancements, SoC estimation remains a major challenge due to the nonlinear, time-varying, and stochastic nature of battery behavior [6,7]. Various factors, including temperature fluctuations, internal resistance variations, sensor noise, and battery aging, degrade the accuracy of estimation models [8,9]. Traditional methods such as Coulomb counting suffer from error accumulation over time, leading to estimation drift [10], while Open-Circuit Voltage (OCV) techniques require the battery to be at rest for precise readings, making them impractical for real-time applications [11]. Additionally, Equivalent Circuit Models (ECM) struggle with parameter drift due to aging and environmental variations, resulting in inaccurate predictions under dynamic conditions [12].
To overcome these issues, advanced filtering techniques such as the Kalman Filter (KF) and its extensions, including the Extended Kalman Filter (EKF) and Unscented Kalman Filter (UKF), have been applied to SoC estimation. For linear stochastic systems, several optimal Kalman-based approaches have also been proposed, such as the three-stage Kalman filter [13], the unbiased minimum variance filter [14], and the optimal recursive filter for systems with unknown disturbances [15]. Among these, EKF is widely used due to its ability to handle nonlinear system dynamics and perform realtime correction of state estimates [16,17]. However, its accuracy depends heavily on precise battery modeling, and errors in system parameters can degrade performance [18]. To enhance estimation robustness, recent research has explored the integration of machine learning techniques with EKF, particularly deep learning models [19].
In recent years, a number of improved deep-learning frameworks have been proposed to enhance both the robustness and accuracy of SoC and RUL estimation for lithium-ion batteries. For instance, Wang et al. [20] introduced an improved hyperparameter Bayesian optimization-BiLSTM framework that significantly enhances convergence and estimation precision for SoC under varying operating conditions. Wang et al. [21] proposed an anti-noise adaptive LSTM architecture designed specifically to mitigate measurement disturbances for robust remaining-useful-life (RUL) prediction. Furthermore, [22] developed an improved multiple-feature electrochemical-thermal coupling model with real-time coefficient correction to better handle low-temperature nonlinearities. These recent contributions highlight the trend toward adaptive, noise-resilient architectures and motivate the adaptive fusion strategy (αk) adopted in this work.
Beyond battery applications, AI-based approaches such as Artificial Neural Networks and Deep Learning have been successfully applied in several engineering domains, including thermal systems and plasma spraying [23-25]. The growing complexity of battery systems has led to the development of hybrid estimation approaches that integrate physics-based models with data-driven methods. Yu et al. [26] introduced a hybrid Long Short-Term Memory (LSTM)-EKF model, demonstrating that deep learning can enhance Kalman filtering by capturing long-term dependencies in battery behavior. Similarly, Khemiri et al. [27] applied hybrid LSTM-EKF frameworks to complex dynamic systems beyond batteries, such as mobile robots, for robust state and fault estimation under noisy environments. Comparative studies have shown that hybrid models outperform purely physics-based or purely data-driven approaches, particularly in handling sensor noise and environmental uncertainties [28].
Machine learning models such as Support Vector Machines (SVMs) and Random Forests have also been explored for SoC estimation. Baccouche and Ben Amara [29] conducted a comparative analysis and found that the LSTM-EKF hybrid approach consistently outperforms SVM-based methods, thanks to its ability to adapt dynamically to battery conditions and learn nonlinear relationships in battery data. While hybrid deep learning-based approaches improve accuracy, they introduce higher computational complexity and memory requirements, making real-time implementation in embedded systems challenging. Fu and Fu [30] analyzed the computational trade-offs of the LSTM-EKF approach, noting that the dualscale nature of LSTM and EKF increases processing demands. Additionally, Kurucan et al. [31] emphasized that training and tuning hyperparameters in LSTM-EKF models require significant computational resources. To mitigate these issues, researchers have explored edge computing frameworks and federated learning approaches [32], which allow for distributed model training with reduced computational overhead.
Furthermore, advancements in multi-sensor fusion techniques have improved SoC estimation accuracy. Liu et al. [33] demonstrated how combining infrared imaging, acoustic diagnostics, and impedance spectroscopy enhances state estimation, particularly for detecting early battery degradation signs. Scaling the LSTM-EKF model for large and complex battery systems presents additional challenges. Chaudhari and Chakravorty [34] found that as battery size increases, the number of states and parameters in the model grows, leading to exponential computational costs. Thermal dynamics and parameter drift in large battery packs further complicate accurate estimation, requiring adaptive SoC estimation methods to compensate for varying thermal conditions and internal resistance fluctuations [35]. To address these issues, fractional-order models and particle filtering techniques have been proposed, demonstrating improved robustness against noise and temperature variations [32,36].
As battery systems evolve, research is shifting toward selflearning and adaptive SoC estimation frameworks capable of updating their parameters in real-time. Liu et al. [37] and Hu et al. [38] explored reinforcement learning-based approaches to optimize energy allocation strategies while extending battery lifespan. Additionally, Zhang et al. [39] and Dong et al. [40] examined hybrid physics-based and AI-driven methods for long-term SoC estimation accuracy, particularly in extreme environmental conditions. Recent developments in Graph Neural Networks (GNNs) for large-scale battery packs have introduced a new paradigm for capturing structural dependencies in multi-module battery configurations [41].
Given these advancements, the main objective of this paper is to develop a novel hybrid approach combining LSTM neural networks with the Extended Kalman Filter (EKF) to improve State of Charge (SoC) estimation under varying operating conditions. The LSTM model captures complex temporal dependencies and nonlinear battery behaviors, while EKF refines state predictions by filtering out process and measurement noise. Additionally, the proposed method incorporates a dynamic fusion mechanism using adaptive fusion factor αk, dynamically balancing LSTM and EKF contributions based on real-time confidence, ensuring optimal accuracy and robustness, especially in highly nonlinear, noisy environments.
The remainder of this papar is organized as follows: Section2 presents the problem statement and key challenges associated with SoC estimation. Section 3 details the proposed hybrid LSTM-EKF methodology. Section 4 discusses experimental validation, comparing the performance of the proposed approach against conventional SoC estimation techniques. Finally, the conclusions are outlined in Section 5.
STATEMENT OF THE PROBLEM
Accurately estimating the SoC of lithium-ion batteries is essential for optimizing energy management in various applications, such as electric vehicles, renewable energy storage systems, and portable electronic devices. However, SoC estimation presents significant challenges due to the nonlinear and time-varying nature of battery characteristics. Several factors, including temperature fluctuations, internal resistance variations, and measurement noise, can degrade the accuracy of traditional estimation methods. Voc, the open-circuit voltage, plays a crucial role in determining the battery's internal state, which is continuously updated through the LSTM-EKF algorithm. By combining measured voltage and current with internal battery parameters, this framework provides a more precise and robust SoC estimation.
. Battery Modeling
A nonlinear equivalent circuit model (ECM) is often used to represent the dynamic behavior of lithium-ion batteries. The state-space representation of this model is given as follows:
where
Δt: is the discrete-time step,
η: charge efficiency parameter
Cbat: represents the nominal capacity of the battery,
Ik: is the battery current,
wk: denotes process noise, assumed to be Gaussian with zero mean and a variance Q.
The measurement equation as follows:
where
Vk: is the measured terminal voltage,
Voc(SoCk): is the open-circuit voltage as a function of SoC,
Rs: represents the series resistance.
υk: is the measurement noise, assumed to be Gaussian with zero mean and a variance R.
Given the nonlinear nature of the system, traditional filtering techniques such as the Extended Kalman Filter (EKF) have been employed to estimate the internal battery states. However, these methods struggle with capturing complex nonlinear dependencies in SoC estimation, necessitating the integration of machine learning techniques like Long Short-Term Memory (LSTM) networks.
. State-Space Model
The state-space model represents the dynamics of the system, capturing the evolution of the internal states over time based on the system's inputs and noise. In the context of lithium-ion battery modeling, the state-space approach provides an efficient framework for estimating the battery's state of charge (SoC), voltage, and temperature under uncertain conditions. The state-space model for a nonlinear system can be expressed as:
where
xkis the state vector (SoC, temperature),
uk represents the input vector (current),
ykis the output vector (measured voltage),
f(.)and h(.)are the nonlinear dynamic and measurement models, respectively.
To overcome these limitations, this paper introduces an adaptive hybrid LSTM-EKF framework that leverages the strengths of both approaches. The proposed method integrates a dynamic fusion factor (αk), which adjusts the LSTM and EKF contributions based on real-time confidence metrics, ensuring robust SoC estimation under varying operating conditions.
THE PROPOSED HYBRID APPROACH FRAMEWORK
To address the limitations of conventional SoC estimation techniques such as the sensitivity of EKF to modeling errors and the lack of real-time correction in standalone LSTM models we propose an adaptive hybrid framework that synergistically combines the predictive capabilities of LSTM networks with the corrective robustness of EKF.
As illustrated in Fig. 1, this hybrid architecture leverages the LSTM's ability to capture complex, nonlinear temporal dependencies in battery behavior, while the EKF provides real-time state corrections by filtering process and measurement noise. The key innovation of our approach lies in the introduction of a dynamic fusion factor (αk), which continuously adjusts the relative contributions of the LSTM and EKF based on their instantaneous confidence levels. This adaptive mechanism ensures optimal accuracy and robustness, particularly under noisy and time-varying operating conditions. The following subsections detail the LSTM-based nonlinear model (Section 3.1), the EKF implementation (Section 3.2), and the adaptive fusion strategy (Section 3.3).
Fig. 2.
Experimental voltage, current, temperature and SoC profiles of a lithium-ion battery cell during the discharge process

. LSTM-Based Nonlinear Model
The LSTM network serves as the data-driven component of our hybrid framework, modeling the complex, time-varying dynamics of lithium-ion batteries. At each time step t, the LSTM processes input features (current, voltage, and temperature) to predict the SoCLSTM. The network's gating mechanisms enable it to selectively retain or discard information, making it particularly suited for sequential data with long-term dependencies. The LSTM's hidden state ht and cell state Ct are updated according to the following equations:
4
where
- ft, it and ot are the forget, input, and output gates respectively
- σ denotes the sigmoid activation function
The final state prediction SoCLSTM,k+1 is obtained through a linear projection layer as follows:
The LSTM network effectively models the nonlinear dynamics of lithium-ion batteries by capturing long-term dependencies in voltage, current, and temperature data. However, its lack of real-time error correction necessitates integration with the EKF, as described in the following subsection, to achieve robust SoC estimation under noisy conditions.
. EKF for SoC Estimation
While the LSTM captures the nonlinear dynamics of the battery, the EKF provides real-time correction by filtering process and measurement noise. Referring to the system equations (3), the Extended Kalman Filter recursively estimates the states by linearizing the system dynamics and measurement equations around the current state estimate using Jacobian matrices:
where
where
The EKF SoC estimation equation is simplified as:
. Adaptive Fusion Strategy
The final SoC estimation is obtained by fusing the LSTM prediction and EKF correction through a weighted approach:
Where αk is an adaptive weighting factor that dynamically balances the contributions of EKF and LSTM. By tuningαk, the system optimally combines the strengths of both approaches, ensuring accurate and stable SoC estimation under varying operating conditions. The adaptive fusion factor, αk ∈ [0,1], is computed as:
To maintain consistency in error modeling, Gaussian white noise is introduced in both the LSTM and EKF estimations, ensuring fair comparison and robustness. The variances
where Pk|k is the covariance matrix of the state from the EKF.
The fusion with the weighting factor αk is a critical aspect of the proposed LSTM-EKF hybrid model. It balances the contributions of the LSTM's prediction and the EKF's estimation to refine the State of Charge estimation. By tuning αk, the method dynamically adjusts the trust given to the data-driven model (LSTM) versus the physics-based model (EKF), thereby enhancing robustness against noise and improving overall estimation accuracy.
This synergistic combination addresses the limitations of individual methods, providing accurate, robust, and adaptive SoC estimation under noisy and nonlinear conditions. The next section validates the framework's performance on NASA's battery datasets, comparing it to standalone and fixed hybrid methods.
. EXPERIMENTAL STUDY
In this section, we evaluate the performance of the proposed LSTM-EKF hybrid model for State-of-Charge (SoC) estimation using the NASA battery dataset used by Saha and Goebel.[11]. The observed fluctuations highlight the challenges of traditional SoC estimation methods, which may struggle with sensor noise, nonlinear dependencies, and model uncertainties. This justifies the need for a hybrid approach that combines machine learning (LSTM) with model-based filtering (EKF).
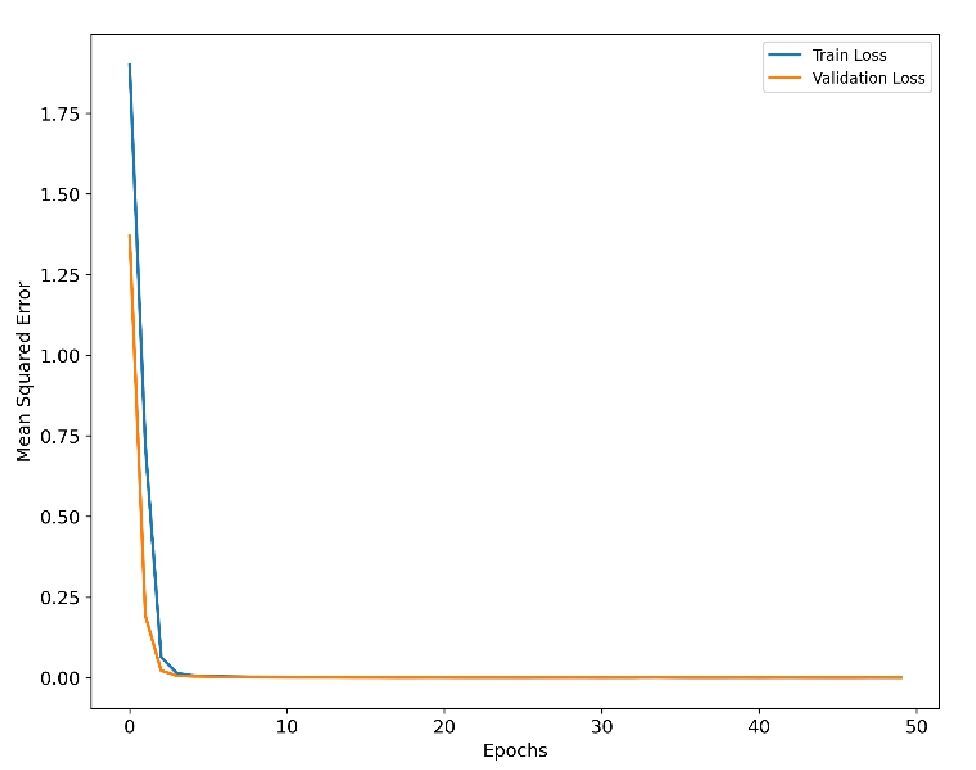
The dataset was split into 80% training and 20% testing. The model was trained for 50 epochs with a batch size of 16, using a validation split of 10% to monitor performance. The training process was evaluated by plotting the loss curves, showing a consistent decrease in MSE over epochs, indicating effective learning. Once trained, the model was tested on the entire dataset to generate SoC predictions. The model summary confirmed its suitability for battery SoC estimation, demonstrating its ability to capture time-dependent patterns in dynamic battery conditions.
Figure 3 illustrates the evolution of the training loss and validation loss for the LSTM model over 50 epochs, measured using the Mean Squared Error (MSE). Overall, the results demonstrate that the LSTM model is effectively trained and provides accurate predictions with minimal overfitting.
To refine the SoC predictions generated by the LSTM model, the EKF was applied. The SoC estimation is modeled using a discrete-time state-space representation with the following parameters: Ak = 1, Cbat = 2mh, Bk = –1/(3600 * Cbat), Q = 0.02, R = 0.02, x0 =0and P = 1
Referring to Equation (12), the combination is performed using the adaptive fusion factor αk represented by Equation (13).
The evolution of over time (Fig. 4) shows that:
– when LSTM predictions are reliable, increases, giving more weight to the neural network model.
– when uncertainty is high, EKF takes over to stabilize the estimation.
– this adaptive mechanism enhances overall SoC estimation accuracy, balancing both methods dynamically.
The fusion factor fluctuates over time, demonstrating that the system dynamically adjusts the influence of each method based on estimation confidence and noise levels. This adaptive mechanism enhances robustness by allowing the hybrid model to intelligently switch between data-driven learning and Kalman filtering, depending on real-time conditions.
Figure 5 presents the SoC estimation results obtained using five different approaches: the standalone LSTM model, the BiLSTM model, the LSTM with attention mechanism, the EKF method, and the proposed adaptive hybrid LSTM-EKF model.
– The LSTM-EKF hybrid model significantly reduces estimation errors, particularly in dynamic and nonlinear regions (as shown in the zoomed-in section)
– The standalone LSTM and its variants (BiLSTM and LSTM with attention) exhibit limitations: while they capture temporal dependencies effectively, they lack real-time correction, leading to higher errors in noisy or transient conditions.
– The EKF method improves upon standalone LSTM by providing real-time correction but struggles in highly nonlinear sections due to its reliance on accurate system modeling.
– The hybrid LSTM-EKF approach effectively combines the predictive capabilities of LSTM with the adaptive filtering ability of EKF, resulting in superior performance. By dynamically balancing their contributions through the fusion factor, it overcomes the limitations of both standalone and recent advanced methods.
These findings highlight the advantage of integrating machine learning with traditional filtering techniques for SoC estimation, ensuring higher accuracy and adaptability to nonlinear and noisy conditions.
Figure 6 presents a comparative evaluation of SoC estimation accuracy for three methods. The metrics used are the Mean Absolute Error (MAE) and Root Mean Square Error (RMSE):
Figure 6 provides a visual comparison of the Root Mean Square Error (RMsE) and Mean Absolute Error (MAE) for five different State of Charge (SoC) estimation methods: LStM, BiLSTM, LSTM-Attention, EKF, and LSTM-EKF. The exact error values are displayed above each bar, allowing for a direct comparison of the performance of each method:
– LSTM-EKF (Hybrid Model):
– RMSE = 0.0062, MAE = 0.0048.
– The proposed adaptive hybrid LSTM-EKF framework achieves the lowest errors among all methods. This represents a 70.77% reduction in RMSE and a 70.80% reduction in MAE compared to the standalone LSTM. The dynamic fusion factor optimally balances the contributions of the LSTM and EKF, resulting in superior accuracy and robustness under noisy and nonlinear conditions.
The results in Tab.1. demonstrate that the standalone LSTM model, while effective at capturing temporal dependencies, suffers from higher estimation errors due to its lack of real-time correction. The BiLSTM and LSTM with attention models do not significantly outperform the baseline LSTM, suggesting that bidirectional processing and attention mechanisms do not provide substantial benefits for this specific application. In contrast, the EKF model shows a notable improvement, with a 43.92% reduction in RMSE, thanks to its ability to dynamically correct state estimates in real time. However, the most significant improvement is achieved by the proposed adaptive hybrid LSTM-EKF framework, which combines the predictive power of the LSTM with the corrective robustness of the EKF. The dynamic fusion factor (αk) optimally balances their contributions, resulting in a 70.77% reduction in RMSE and a 70.80% reduction in MAE compared to the standalone LSTM. This superior performance underscores the effectiveness of our hybrid approach in achieving accurate and robust SoC estimation under noisy and nonlinear conditions.
Tab. 1.
Comparative performance of SoC estimation methods
| Method | RMSE | MAE | RMSE Improvement(%) | AME Improvement (%) |
|---|---|---|---|---|
| LSTM | 0.021 | 0.016 | 0.00 | 0.00 |
| BiLSTM | 0.023 | 0.018 | -7.37 | -9.78 |
| LSTM-Attention | 0.022 | 0.017 | -2.82 | -2.12 |
| EKF | 0.012 | 0.009 | 43.92 | 43.88 |
| LSTM-EKF | 0.006 | 0.005 | 70.77 | 70.80 |
The results show that the hybrid approach achieves the lowest error values, demonstrating superior accuracy and robustness. The LSTM-EKF model effectively reduces errors by dynamically adjusting the contribution of each method through the adaptive fusion mechanism (αk). This confirms that integrating machine learning with model-based filtering significantly improves SoC estimation, making it a reliable solution for battery management in electric vehicles and renewable energy systems.
. CONCLUSION
This work presented an adaptive hybrid LSTM-EKF framework for accurate and robust state-of-charge (SoC) estimation of lithium-ion batteries under nonlinear and noisy conditions. The key innovation is the dynamic fusion mechanism (αk), which adaptively balances the predictive capability of the LSTM and the corrective feedback of the EKF in real time. A comprehensive comparison with recent approaches BiLSTM, LSTM-Attention, and EKF confirmed the superiority of the proposed method, achieving about 70% improvement in RMSE and MAE. The model effectively captures complex battery behavior while ensuring stability and fast convergence, showing strong potential for integration into advanced batterymanagement systems. Future work will extend the framework to multi-cell configurations and explore integration with physics-informed neural networks (PINNs) for real-time health prediction.




