INTRODUCTION
The applications of free convection flow are perceived in many fields of engineering and science such as heat exchangers, solar energy, drying processes, electric components of communication lines, and thermal storage systems. Several of its applications are also found in conservation, ventilation systems, dehydration, concentration, etc. These forms of flow are frequently inspected with a vertical plate in various manufacturing developments i.e., petroleum industry, geothermal phenomena, thermal insulation, etc. The free convection MHD flow with permeable plate by the AB derivatives along with integral transform is studied in [1]. In [2], free convection with NF in the presence of a magnetic field is deliberated by utilizing a fractional approach. A mathematical study with NFs with radiation impact is studied in [3]. A natural convection fluid flow with a long and vertical cylinder is considered in [4]. They studied the impacts of energy as well as mass transfer with time. Different investigators applied various techniques to study convection fluid flow with diverse structures [5,6, 7, 8, 9, 10, 11].
Firstly, Choi presented NFs comprising nanoparticles in 1995. There are numerous uses of NFs in many fields for example fluid dynamics, in many engineering branches, and biomedical fields. NFs are considered the most excellent alternate ways to usual fluids [ 12, 13, 14]. The small particles in the base fluid which progress the competency of the characteristics of NFs for minimizing the system are known as nanoparticles and the key purpose of NFs is to realize the extreme possible heat conduction at a short nanoparticle concentration. The main conclusions have been distinguished because of the chemical configuration of the nanoparticles when are jumped in the base liquid i.e., reduced possibilities of erosion, thermal transmission, and solidity of the combination. These features play an exceptional part in increasing thermal transmission and energy proficiency in several fields i.e. biomedical instruments, microelectronics, and power generation [15]. Mud nanoparticles consume many practical uses in the penetrating of gasses and oil liquids because of their thermal conduction expressively. The growth of nanoparticles increases the thermal conduction and viscosity of NFs that oppose the intensifying temperature. Currently, because of their extensive uses in many branches of science and technology, NFs are now a fascinating and dominant field for research in fluid mechanics. The impacts of volume fraction and natural convection flow with NFs along with fractional calculus are studied in [16]. A viscous flow with NF (Titania-sodium cellulose) was discussed in [17]. To inspect and enhance the performance of solar accumulators exploited the NFs were studied by Farhana et al. [18]. Jamshed et al. [ 19, 20, 21, 22, 23, 24] applied different techniques to study Eyring NF, Casson NF, second-grade NF, Williamson hybrid NF and tetra hybrid binary NF in different channels. Many researchers applied various methods to study NF flow models with diverse constructions [ 25, 26, 27, 28, 29, 30, 31].
In 1695 [32], firstly, the concept of fractional derivative was given by Leibnitz and L’Hospital which is a proficient tool related to memory facts. Memory function narrates to the kernel of the time-fractional derivative that has not simulated a physical development. Fractional calculus deals with non-local differentiation and integration [33]. The numerical solution of a fractional Oldroyd B-fluid is achieved by the modified Bessel equation as well as the Laplace method [34]. They showed that shear stress is improved as dynamic viscosity is increased. Fractional derivatives are most suitable to the problems of physical nature i.e., earth quick vibrations, polymers, viscoelasticity, heat transfer problems, fluid flows, etc. Over time, various algorithms and definitions were determined by different mathematicians. To find the solution to various mathematical models, the researchers used different fractional derivatives i.e., Riemann-Liouville, Caputo, CF, and AB derivatives. Fractional models can define more proficiently the consequences of the real nature of world problems such as electromagnetic theory, diffusive transfer, electrical networks, fluid flows, rheology, and viscoelastic materials. Then due to a few complications and limitations, Caputo and Fabrizio proposed the latest non-integer order model named CF fractional derivative along with an exponential and non-singular kernel [ 35, 36, 37, 38, 39].
According to the author’s knowledge, there is no investigation on the study of mixed convection flow with Al2O3 and TiO2 nanoparticles with water and blood-based NF in several situations which is a significant theoretical and practical study for the solution of important problems based on the fractional derivative. By getting motivation from these facts, our main purpose is to study a mixed convection flow with Al2O3 and TiO2 nanoparticles with water and blood-based NF along with new definitions of fractional derivatives i.e., AB and CF fractional operators. A semi-analytical approach for AB and CF-based fractional models is applied by the Laplace transform technique along with Stehfest and Tzou’s numerical schemes. To improve the novelty of the recent work some particular cases of velocity profile are also deliberated whose physical importance is prominent in the literature. The graphical illustration for the under-discussed mathematical problem by changing diverse flow parameters is underlined.
CHAPTER TITLE
We assume that a mixed convection fluid flow with Al2O3 and TiO2 nanoparticles are flowing over an inclined plate with an inclination angle δ with the x-axis. Initially, when t = 0, the plate, as well as the fluid, is at rest and ambient medium temperature T∞. When t = 0+, the plate moves by a constant value of velocity
We suppose the characteristics of the physical nanoparticles are from Table 1. The fluid velocity as well as the temperature depends on ξ and t. With Boussinesq’s approximation and in the absence of pressure gradient [7, 45], the governing equations are:
Momentum Equation:
Tab. 1.
| Material | H2O | Blood | Al2O3 | TiO2 |
|---|---|---|---|---|
| ρ(kgm−3) | 997.1 | 1053 | 1600 | 4250 |
| Cp(kg−1k−1) | 0.4179 | 3594 | 796 | 686.2 |
| K(Wm−1k−1) | 0.613 | 0.492 | 3000 | 8.9528 |
| BT×10−5(k−1) | 21 | 0.18 | 44 | 0.90 |
The thermal balance Equation:
Fourier law [9]:
with the appropriate initial and boundary conditionsThe appropriate non-dimensional parameters are taken as
By using the above non-dimensional parameters in Eq. (7), the governing Eqs. (1)–(3) and equivalent conditions (4)–(6) take the form as
along with corresponding conditions where:. Formulation of governing equations by using non-singular kernels
To formulate the fractional model recent proposed definitions of fractional derivatives i.e., AB and CF derivatives. The AB derivative of order 0< β < 1 is defined as [41]
and Eβ(z) is a Mittage-Leffler function defined byThe Laplace transform for the AB derivative is [42]
withThe CF derivative of order 0< α < 1 is defined as [37,43]
The Laplace transform for the CF derivative is [27,38]
withIt is important to note that AB and CF fractional operators can also be extended significantly by letting β = 1 in Eq. (14) and α = 1 in Eq. (16) respectively.
The limitation of fractional parameters in derivatives, such as the AB and CF derivatives, to the interval (0,1) derives from their interpretation and physical significance of these values. This range permits for a smooth transition across integer-order derivatives, recording abnormalities as well as long-memory effects in processes, making it ideal for modelling phenomena using sub-diffusive behaviour as well as memory-dependent dynamics in fields such as time series analysis, signal processing, and anomalous diffusion.
MODEL OF NANOFLUID WITH AB DERIVATIVE
The model to the problem with AB derivative can be expressed by substituting the ordinary derivative with AB derivative operator in Eqs. (8)–(10), we get
. Temperature with ab derivative
By employing the Laplace transform on Eqs. (19) and (20), we get
where ̄ϑ (ξ, q) is the Laplace transform for ϑ (ξ, t), and the transformed conditions after Laplace transform are as followsWith the above conditions of Eq. (22), we get the temperature as
Eq (23) can be written as where:Eq (24) can also be written in summation form as
By taking the Laplace inverse of Eq. (25), we have
When β → 1, Eq. (26) becomes
. Velocity with ab derivative
By using the Laplace transform on Eq. (18), we get
with the corresponding conditions andEq (28) is solved by utilizing Eq. (29) and we get
(30)
When β → 1, Eq. (30) becomes
(31)
The Laplace inverse of these solutions is determined numerically through Stehfest as well as Tzou’s approaches as in Tables 2–3.
Tab. 2.
A comparison of solutions with two diverse approaches
Tab. 3.
Numerical analysis of Nusselt number as well as skin friction for CF and AB derivatives
MODEL OF NANOFLUID WITH CF DERIVATIVE
In the above section, the temperature, as well as velocity, is determined by using the AB-fractional derivative, now the modelling of governing equations by CF-fractional derivative may be expressed by replacing the ordinary derivative with CF-fractional derivative operative
. Temperature with cf derivative
By taking Laplace transform on Eqs. (33), and (34), we get
By using the corresponding conditions of Eq. (22), the solution of Eq. (35) is
Eq (36) can be written as
Where
Eq (37) may be written in summation form as
By utilizing the Laplace inverse of Eq. (38), we have
For the special case for ordinary solution replace α → 1 in Eq (39), and then the solution will be
. Velocity with cf derivative
By using the Laplace transform on Eqs. (32), we get
By solving Eq (41) with the corresponding conditions in Eq. (29), we get
(42)
When α → 1, Eq. (42) becomes
(43)
To find out the Laplace inverse, various researchers applied different numerical approaches to find the solution of diverse differential fractional models as in [44,45,46,47]. Consequently, here we will also utilize the Stehfest scheme to find the numerical solution of temperature as well as velocity numerically. Grave Stehfest scheme [48] can be expressed as
where M be a non-negative integer, andHowever, we also applied another estimation for temperature as well as velocity solutions, Tzou’s method for the comparison and validation of our numerical findings with the Stehfest [48] scheme. Tzou’s scheme [49] has the form as
where i and Re(. ) are imaginary units and real portions and N > 1 is a natural number.PARTICULAR CASES
As the solution of the velocity field with AB and CF derivative in Eq. (30) and (42) correspondingly, is in a more general form. Consequently, to demonstrate some more physical perception of the problem, we will deliberate some particular cases for the function g(t) for the velocity whose physical explanation is prominent in the literature.
Case 1: g(t) = t
In this case, we take g(t) = t then the expressions of velocity with AB and CF derivative along with Eqs. (30) and (42) respectively will take the form as
(47)
(48)
Case 2: g(t) = Sin(ωt)
In this case, we take g(t) = Sin(ωt) where ω denotes the intensity of the shear stress, then the expressions for velocity with AB and CF derivative with Eqs. (30) and (42) correspondingly will take the form as
(49)
(50)
Case 3: g(t) = t Cos(t)
In this case, we take g(t) = t Cost with its Laplace
(51)
(52)
Case 4: g(t)=t et
In the final case, we take g(t) = tet with its Laplace
RESULTS AND DISCUSSION
The mixed convection fluid flow with Al2O3 and TiO2 nanoparticles with water and blood as base fluids are investigated with a slip effect at the boundaries on an inclined plane under the magnetic field by using AB and CF derivative schemes. The solution for the considered problem is explored with the Laplace scheme and numerical approaches i.e., Stehfest and Tzou for the inversion phenomenon of the Laplace transform. To obtain some physical features of velocity attained with AB and CF derivatives, some particular cases are also discussed. For studying the impacts of diverse flow parameters i.e., fractional parameters (α, β), angle of inclination, magnetic parameter, volume fraction, Pr, and Grashof number, graphical diagrams are presented in Figs 2–9 through Mathematica.
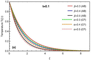
Fig. 2.
Plot of temperature field for both fractional models when Pr = 0.3, φ = 0.01 with (a): t = 0.1 and (b): t = 1.5


Fig. 3.
Temperature field for diverse values of (a): Prandtl number and (b): nanofluid with α, β = 0.5, φ = 0.01, and t = 0.1

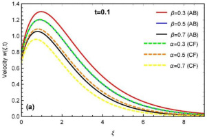
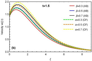
Fig. 4.
Effect of (α, β) on velocity for Pr = 0.3, M = 0.5, Gr = 4,


Fig. 5.
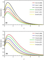
The effect of (a): Grashof number (b): Pr on velocity when α, β = 0.5, M = 0.5,

Fig. 6.
Effect of volume fraction φ on velocity for α, β = 0.5, Pr = 0.3, M = 0.5, Gr = 4,

Fig. 7.
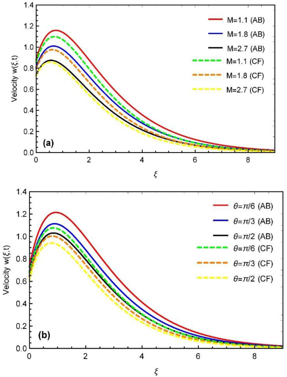
Variation in (a): magnetic parameter and (b): the inclination of magnetic field for velocity field with α, β = 0.5, Pr = 0.3, Gr = 4, w = 0.9, b = 0.5,

The impact of fractional parameters (α, β), on temperature is shown in Figs. 2(a, b). By raising the estimations of α, β, the temperature illustrates decaying behaviour (at a small time) and an increasing trend at a large time, consequently, we see that the fractional parameters have dual behaviour (for small and large time) for temperature. This specifies the consequence of the CF and AB fractional operators that promise to illustrate the generalized memory and hereditary features. This is due to the different properties of CF (based on exponential function having no singularity) and AB (having non-singular and non-local kernel) fractional operators. From Fig. 3a, as improvement in the estimations of Pr shows that development in the viscosity of liquid declines the difference among thermal boundary layers of the liquid, so the temperature profile declines because of the rises in the estimations of Pr and in the same way, the comparison of two nanofluids is shown in Fig. 3b by considering other parameters constant and changing the fractional parameters α, β. We see that the temperature of the blood-based NF is smaller than the water-based nanofluid, which is due to the physical characteristics of certain nanoparticles.
From Figs. 4a and 4b, we see that the velocity of fluid also decelerates by enhancing the estimation of α, β for a small time but speeds up at a large time. This is also due to the diverse properties of CF (based on exponential function having no singularity) and AB (having non-singular and non-local kernel) fractional operators. The fluid velocity is increased as Gr grows as shown in 5a. The velocity increases because of enhancing the values Gr. The relative impact of the heat buoyant behaviour on the viscous force is investigated using Gr. Such effects happen because of the existence of buoyant forces. An enhancement in the Pr declines the fluid velocity due to development in the fluid viscosity as in 5b Pr is inversely related to thermal diffusivity, resulting in declining heat transmission. The effect of volume fraction (φ) on velocity is illustrated in Fig 6a with the variation in time. The increase in volume fraction enhances the viscous impact of fluid flow which slows down the velocity of the fluid.
In Figs. 7a and 7b, growing the estimation of the magnetic parameter slows down the fluid velocity. Larger estimates of M lead to decreased velocity. Physical applications for such observations are because of the Lorentz force which produces a resistance in the flow. Similarly, the behaviour of the inclination angle of the magnetic field is shown in Fig 7b. The growth in the inclination angle declines the influence of the magnetic field which conveys off the Lorentz force effect, so by growing the estimation of the inclination angle, the fluid velocity again decreases. For θ = π/2 (normal magnetic field), the velocity is maximum declined, such observations are because of the Lorentz force which produces resistance in the flow. The Lorentz force has the greatest influence on velocity, decreasing velocity.
The comparison of ordinary and fractional fluid velocity is illustrated in Fig. 8a and 8b for diverse values of fractional parameters. We observe that when the fractional parameter i.e., α, β → 1, the fractional fluid velocity almost overlaps with ordinary velocity, which represents the convergence of our obtained numerical solutions of the velocity profile. From the graphical illustration, we see that the results attained by the AB-fractional derivative show more growing behaviour than the CF-fractional derivative. This is also due to the different properties of CF- (based on exponential function having no singularity) and AB (having non-singular and non-local kernel) fractional operators.
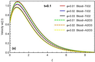
The comparison of different nanofluids for velocity field is shown in Fig. 9a. We see that the enhancement in velocity, due to (H2O-Al2O3) and (Blood-Al2O3 ) is more advanced, than (H2O-TiO2) and (Blood-TiO2) based NFs but (H2O-Al2O3) based NF has a higher velocity than (Blood-Al2O3 ) based NF, all this behaviour is due to the physical characteristics of certain nanoparticles. The comparison of numerical methods specifically Grave Stehfest as well as Tzou’s is considered in Fig. 9b. The curves of the Stehfests, as well as Tzou’s scheme, overlap each other in both cases, which also validates our present results. Furthermore, to make the validity of our attained solutions, the numerical comparison of temperature as well as velocity field through Stehfest and Tzou’s with Nusselt number as well as skin friction, are presented in Tables 2–3.
CONCLUSIONS
We study mixed convection flows over an inclined plate with Al2O3 and TiO2 nanoparticles with water and blood-based fluids along with new definitions of CF (based on exponential function having no singularity) and AB (having non-singular and non-local kernel) fractional operators in several circumstances which is a significant theoretical and practical study for the solution of important problems. A semi-analytical approach for AB and CF-based models is applied by the Laplace transform technique along with Stehfest and Tzou’s numerical schemes.
− The temperature shows dual behaviour with different estimations of fractional parameters with diverse estimations (small and large) of the time.
− The temperature displays decaying behaviour for large estimations of the Pr.
− The velocity slows down by growing the estimation of M.
− The velocity profile speeds up as increasing the estimations of Gr and declines for increasing values of volume fraction φ.
− The enhancement in velocity, due to (H2O-Al2O3) and (Blood-Al2O3 ) is more advanced, than (H2O-TiO2 ) and (Blood-TiO2 ) based NFs.
− Our obtained solutions through different numerical methods specifically Stehfest and Tzou’s are alike.
Consequently, our claimed results offer significant insights into industrial and engineering systems. These findings guide the development of thermal transfer technologies, assisting in the optimization of processes for better efficiency in applications such as cooling mechanisms and power generation. The research advances heat transfer processes, increasing the overall efficiency of industrial systems.


