INTRODUCTION
The main types of fiber-reinforced polymers are those based on carbon or glass fibers impregnated with epoxy or polyester resin. Those based on glass fibers and polyester resin (GFRP) are widely used in low-demanding applications mainly due to the lower cost compared to carbon fibers and epoxy resin. Nevertheless, GFRP characterizes relatively high strength and stiffness, ease of shaping, and good resistance to environmental conditions. Their popularity on the market is also driven by their low-cost manufacturing [1].
In our previous paper we demonstrated that milled GFRP can be used directly as a filler for recycled high-density polyethylene (rHDPE) [2]. We observed that the adhesion between recycled GFRP (rGFRP) and rHDPE is too low, leading to insufficient improvement in mechanical properties. Therefore, our intention was to examine if the addition of chemical compatibilizers and stabilizers will positively affect the mechanical performance of rHDPE mixed with rGFRP. Potential applications for such a composite include products like patio boards, pipes, and casings [3].
Mineral and organic fillers are crucial in modifying polymers to obtain required properties such as mechanical strength, thermal stability, and price. The most popular are: talc, calcium carbonate, carbon black, and organics like wood powder [4] or grape leaves fiber [5]. The final material’s properties can be changed utilizing different particle sizes of filler, shape, and mass share [6,7]. Many efforts have been made to increase the strength of PE while not affecting the non-bioactivity [8,9].
Poor adhesion between fibers and thermosetting matrix results from low matrix wettability and high surface energy of the fibers. This leads to defective composites with poor mechanical properties due to insufficient stress transferring from the matrix to the reinforcing. To improve the interphase between fractions, various modification methods are used [10]. Commercially used glass fibers are mostly modified by sizing. Sizing is a coating modification method consisting of dipped-in slurry using coupling agents (silane coupling agent), film formers, and other additives. Sized fibers present a good adhesion to the polymer matrix and have higher resistance to damage, moisture, and environmental damage [11]. Unfortunately, after recycling, sizing can be damaged by milling and other recycling operations. Mechanical damage and fibers shortening caused by milling, resin residues, and sizing damage cause reduced mechanical properties compared to composites with virgin fibers. One of the methods to prevent this is the use of compatibilizers. These substances act as a binder between materials with different polarities, through polar interaction or covalent bonding [12].
Chemical compatibilizers can be divided into two main groups proposed by A. Ghosh [13]: low-molecular-weight coupling agents and polymeric compatibilizers. The first group includes chemical compounds with reactive groups such as anhydride, isocyanate, epoxide, peroxide, etc., and they are able to produce covalent bonding. One of the most popular is the silane coupling agent. Similar to sizing, they increase adhesion between reinforcement and matrix. Ch. Tselios et al. [14] used y-methacryloxy propyltrimethoxy silane for glass fibers compatibilization in low-density polyethylene/polypropylene (LDPE/PP) blend. They found out that coupled fibers have better adhesion to LDPE [14]. Polymeric compatibilizers are high-molecular-weight coupling agents that can improve interfacial adhesion but also act as an impact modifier. One is commercially available functionalized polyolefins obtained via the free-radical grafting process during melt extrusion. The multitude of their types is significant, depending on the matrix and filler used, like polymer-graft-glycidyl methacrylate, polymer-graft-ethyl acrylate, or polymer-graft-butyl acrylate [14]. One of the most popular for polyolefins compatibilization is grafted maleic anhydride on polypropylene (PP-g-MA) or polyethylene (PE-g-MA). PP-g-MA and PE-g-MA are commonly used for increasing adhesion between natural fibers and the hydrophobic polymeric matrix. I. Noranizan and I. Ahmad [15] used PE-g-MA in kenaf fiber/HDPE composites. They deduced that MA could react with the hydroxyl group of natural fiber, and PE chains diffuse into the HDPE matrix through interchain entanglements, which increase the dispersion of the fibers [15]. Compatibilization of GFRP with maleic anhydride is also a common way of obtaining better phase interaction. The anhydrite groups of the grafted polyolefins can react with sized (amino groups of silane) glass fibers [16], but also with silanol groups of the fibers [17]. Many scientists have reported using maleic anhydride for composites with glass fibers and polyolefins [17,10]. R. Watanabe et al. obtained an increase in tensile strength from 38.5 MPa to 87.0 MPa after introducing PP-g-MA to GF/PP composites, thanks to enhancement in the interfacial adhesion between components [17].
Filler affects polymer resistance to y radiation. Mineral fillers increase while organic fillers decrease [18]. To improve coupling, and strength properties several studies have also investigated other coupling agents, including isocyanates [19,20] and silanes [21]. Overall, coupling agents have been used to increase the mechanical properties of composites.
Improving the polymer matrix through crosslinking can effectively reduce creep under long-term loading [22]. Various techniques for obtaining crosslinked polyethylene have been developed, such as peroxide crosslinking, irradiation techniques, and silane crosslinking. However, both peroxide and irradiation methods involve high investment costs [23].
γ-irradiation stimulates the crosslinking process; however, when it is done under inert atmosphere, irradiated in air, oxidative degradation becomes dominant. Singh [24] summarized the observation that the effects of irradiation on PE highlight several potential processes that seem to have received limited attention in previous research, specifically: a) during irradiation in air, superoxide anions, hydroperoxyl radicals, and hydrogen peroxide are likely to form in the amorphous regions; b) cationic condensation reactions involving sites of unsaturation may result in crosslinking in both the crystalline and amorphous regions; c) the transfer of excitation energy to peroxides and hydroperoxides, along with their reactions with radiolytically produced electrons, could lead to the formation of alkoxy radicals, which, in turn, may form ether linkages (PEOPE) and encourage crosslinking; and d) cationic and excited molecule reactions are likely the primary pathways for the formation of transvinylene.
In this study, two approaches to modifying rHDPE/rGFRP composites were explored: one involves using additives such as compatibilizers and stabilizers to enhance the adhesion between the fibers and matrix, while the other utilizes γ-irradiation. The influence of both on the mechanical properties (uniaxial tension test), structure (SEM and optical microscopy) and thermal properties (DSC) was investigated.
MATERIALS
As the starting material the composite of rHDPE containing 40 wt% of rGFRP was used. rHDPE was bought from POLCHEM Sp. z o.o. company. Both components were delivered from the industry with rGFRP from post-consumer bus bumpers. The composite pellets were produced by the extrusion method by TMBK Partners Sp. z o.o. from Warsaw, Poland and the whole procedure was described deeply in [5]. To improve the mechanical properties of the composite rHDPE/rGFRP the following commercial additives in the form of granulate were used:
– IrgaCycle PS032G (BASF, Germany) - is a stabilizer solution designed to improve the processing and long-term thermal stability of recycled polyolefins that have been degraded or contaminated due to exposure to aggressive substances such as acids or metal ions [25].
– Licocene® PE MS 431 (Clariant Plastics and Coatings Ltd) - stabilized maleic anhydride grafted polyethylene wax [26].
– SilmaLink AX2292 (Silma S.L) - acts as a compatibilizer or/and crosslinker in many reactive applications to build a network copolymerization between organic CH groups and organic/inorganic OH groups. It is a vinyl functional silane with methoxy groups [27].
Before compatibilization of the material rHDPE/rGFRP with additives, rHDPE/rGFRP pellets were dried in a vacuum, at 80 °C for 12 h. Then, the pellets were mixed with each additive at various concentrations recommended by the producers (Table 1), and then extruded with a co-rotational two-screw extruder Haake MiniLab (Thermo Fisher Scientific, Massachusetts, USA). Extruding parameters were as follows: temperature 190 °C and screws velocity 25 rpm. The extruded profile was cut and once again extruded to improve homogenization between components
Tab. 1.
Sample description with commercial additives names and mass shares
| Additive | Sample name rHDPE/rGFRP/x%abbrv. | Additive concentration (wt%) |
|---|---|---|
| none | rHDPE/rGFRP | 0 |
| IrgaCycle PS 032 G | 0.2P | 0.2 |
| 0.5P | 0.5 | |
| Licocene® PE MS 431 | 1MAH | 1.0 |
| 2MAH | 2.0 | |
| 3MAH | 3.0 | |
| SilmaLink AX2292 | 0.3S | 0.3 |
| 1S | 1.0 | |
| 2S | 2.0 |
The produced composite pellets were then injection molded into the form of dog bones (version 5A [28]) and rounds with a diameter of 25 mm and thickness of 1 mm using a HAAKE Mini Jet Piston Injection Molding System (ThermoFischer Scientific, Massachusetts, USA), Figure 1. The parameters of the injection molding were as follows: 220 °C - the temperature of the barrel, 40 °C - the mold temperature, 700 bars and 7 seconds injection pressure and time, and 600 bars and 5 seconds the post-processing injection pressure and time.
METHODS
. Mechanical properties
The mentioned bone-shaped specimens were used for the uniaxial tensile test. Tensile strength was determined as the engineers' stress. The test was conducted on a Zwick/Roell Kappa 50 DS machine (ZwickRoell, Ulm, Germany) with a speed of 5 mm/min in speed and 20 Hz of sampling under 20 °C and 1010 hPa. The test was conducted in accordance with ASTM D638-14 [29].
Tensile modulus was determined based on the inclination of 24 consecutive measurements of the stress-strain test with the beginning at ε = 0.002. Re0.2 was considered as offset yield strength, when elongation at maximum strength. The results were averaged according to normal distribution. In every series 8 samples were tested with additives and 4 specimens of irradiated ones.
In every series, 8 samples with additives were tested and 4 irradiated specimens.
. Microstructure
Microstructure images were captured using the Keyence VHX-1000 microscope (Keyence, Osaka, Japan). Images were taken on cross-sections of bone-shaped specimens [30]. The cut was done 10 mm from the outer edge of the holder location SEM analysis was done with Hitachi Su-70 (Hitachi, Tokyo, Japan), 15 kV.
. Irradiation test
Irradiation was carried out at the Institute of Nuclear Chemistry and Technology in Warsaw. Bone-shaped specimens of rHDPE and rHDPE/rGFRP were irradiated using 60Co Gamma Chanber 5000 (BRIT, India) source, Figure 2 a. The average dose rate was ~1.4 kGy/h. Dose was determined by standard Fricke dosimeter [31,32] using radiation yield of Fe3+ equal to 1.61 μmol J−1, molar absorption coefficient of Fe3+ at 303 nm 2174 M−1 cm−1 and mass density of dosimetric solution 1.023 g cm−3, The test was conducted at 30 °C. During the process, specimens were fixed in a holder that was rotating to ensure homogeneous distribution of radiation dose in specimen volume. Dose absorbed by the samples were in range: 0 – 100 kGy. This range was taken into consideration of previous results published by Cota [33]. Tensile modulus, strain at tensile strength, and tensile strength were determined.
Irradiated specimen names correspond to doses, as listed in Table 2.
. Thermal properties
Differential scanning calorimetry (DSC) was carried out using DSC Q1000 (TA Instruments, New Castle, PA, USA). Samples of 8 g were placed in the aluminum hermetic pan. Then it was heated from -80 °C to 200 °C (1st heating cycle), next cooled from 200 °C to -80 °C (cooling cycle), and then heated again to 200 °C was repeated (2nd heating cycle). Processes were conducted at a rate of 10 °C/min in a nitrogen atmosphere. Based on the experiment following parameters were determined: melting temperature (Tm), melting enthalpy (ΔHm, 2nd heating curve), crystallization temperature (Tc) and crystallinity degree (Xc) using formula (1): where:
where: ΔHm - melting enthalpy (from 2nd heating cycle),RESULTS AND DISSCUSION
. Mechanical properties
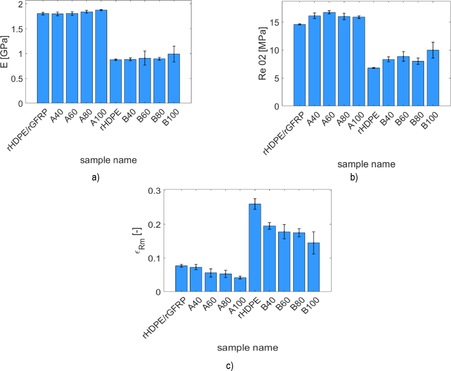
The sample containing 1 wt% S (AX2292) shows the highest tensile modulus, 1.91 GPa, which is 3% higher than the reference material (rHDPE/rGFRP) 1.82 GPa. The relative standard deviation does not exceed 8.5%, Figure 3 a. There are no significant differences in parameters when studying additives content, Figure 3 b,c.
Fig. 3.
Mechanical parameters of rHDPE/rGFRP material with additives described below the chart: a) tensile modulus; b) tensile strength; c) offset yield strength

The highest strength is exhibited by material with maleic anhydrate additive which equals 40.08±0.14 MPa. 1 wt% of of this additive translates to a 10% strength increase, respectively 2 wt% to 12% and 3 wt% to 14%. Such a relation is not observed considering silane-based additives. The maximum relative standard deviation was 9.5%.
Offset yield strength is also highest for samples with maleic anhydrate additive, which is 16% higher than the reference sample. The maximum relative standard deviation reaches 7.6%.
S. da Silva and JRM d/Almeida [35] investigated the influence of 0, 2, and 3 wt% HDPE-alt-MAH on HDPE/PA12 blends. They reported that the addition of 2 wt% of the additive significantly improved tensile modulus by over 40%, while the 3 wt% addition led to a smaller increase. Similarly, tensile strength increased for 2 wt% content of compatibilizer and decreased for 3 wt%.
. Microstructure of the material rHDPE/rGFRP with additives
Figure 4 presents the microstructure of the composites. The non-modified composite does not exhibit higher porosity than the modified.
The brighter and more colorful particles are fragments of the filler.
In some areas, there are significantly more chaotic, non-linear regions, as shown in Figure 4b.
Figures 5 a-i shows the SEM images of a cross-sections of the composites. Pores are formed in the matrix around the resin and fiber elements, which can be observed as brighter areas. The cross-section surfaces do not exhibit any significant differences compared to the reference material (rHDPE/rGFRP), Figure 5 b. However, when studying a close-up view of fibers, Figure 6, shows that pores form around the fibers, suggesting that the matrix and filler create a homogeneous microstructure. The fibers in Figure 6 h-I, the sample with MAH additive, are covered with a thin polymer layer that was not picked up during grinding.
Fig. 5.
SEM images of the composite material with additives: a) rHDPE; b) rHDPE/rGFRP; c) 0.2P; d) 0.5P; e) 1S; f) 2S; g) 1MAH; h) 2MAH; i) 3MAH

Fig. 6.
SEM images of the composite material with additives close-up view on fibre: a) rHDPE; b) rHDPE/rGFRP; c) 0.2P; d) 0.5P; e) 1S; f) 2S; g) 1MAH; h) 2MAH; i) 3MAH

Analyzing failure zones, it can be concluded that composite failure was brittle. Fibers protrude from the matrix in every sample and in the vast majority are oriented in line with the stretching axis. It can be seen that MAH samples present a much more perpendicular character of structure, which is convergent with the direction of tensile test force direction. This pattern is also seen in the 2S sample, which exhibits almost comparable durability to MAH samples.
Yu S. et al. [36] examined a BF/PLA/PLA-g-MAH composition and it’s tensile strength and observed that system does not show interfacial void channels among inter-filament threads; thus, the microstructure formed a single matrix composite system when some other tested polymeric compositions do. Poor wettability can be observed, as it was reported in several previous studies on thermoplastics filled with rigid bodies [37].
. Mechanical properties of irradiated materials
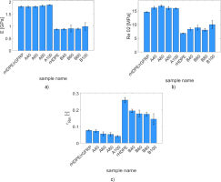
Tensile modulus increases with increasing absorbed dose, no matter which material (with filler or without) it was, Figure 8a. A similar relation can be observed for both materials – the modulus is higher for the material with filler, which could be predicted and was tested before. Offset yield strength values do not change in such a clear way, as shown in Figure 8 b. The highest strain at maximum stress (εRm) presents specimens with the lowest absorbed dose. Further, the proportional relation can be observed between εRm and absorbed dose, Figure 8 c.
Fig. 8.
Mechanical parameters of irradiated specimens: a) tensile modulus of irradiated materials; b) offset yield strength; c) strain at tensile strength

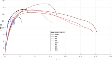
When analyzing stress-strain curves, Figure 9, significant differences can be observed. γ-irradiation does not influence the tensile modulus (similar results in this dose range are presented by Cota [33]). However, it changes the character of σ(∊) relation and tensile strength. For A material (rHDPE/rGFRP – black curve on Figure 9, it can be seen that the offset yield strength is lower. A Linear decreasing character of strain at tensile strength can be observed, in Figure 9, when the strain at break parameter rises with higher irradiation dose. Further, there is a plateau fragment for ε=0.02-0,08 (A40). For a raw material, rHDPE, the relation changes even more. The slope of the function descends softly. Considering all B series, single curves behave differently. Rm_rHDPE=36.5±0.3 MPa, when the average maximum strength for irradiated samples equals Rm_B40-B100=33.5±2 MPa. The decrease is not significant. Absorbed doses 40-100 kGy do not impact tensile strength. However, εRm transfers to lower values, when elongation at break is increasing for B40 and under the influence of increasing γ-irradiation dose, decreasing from 0.6 to 0.35. Partially the same results were reported by M. Zayat et al. [38] who studied HDPE/modified sugarcane bagasse. The tensile modulus increased by over 25% for neat HDPE, and tensile strength improved at 100 kGy by circa 15%. However, there is a discrepancy when analyzing elongation at break (for doses 0-100 kGy), as it increased in this study, but decreased in the mentioned paper (by 15%).
Fig. 9.
Engineering stress-strain relationship for non-irradiated (rHDPE/rGFRP and rHDPE) and irradiated samples (A40-A100 and B40-B100).

Shershneva et. all. [39] were investigating the influence of γ-irradiation on LDPE/GF and concluded that at irradiation doses up to 60 kGy, the process of gel formation proceeded with a greater speed than destruction. They also tested the simultaneous effects of nitrile butadiene filler rubber and radiation on strength, consequently reaching similar conclusions that the material with filler has higher stiffness [39]. The presence of filler changes the rHDPE degradation mechanism, which was observed by Valandez Gonzalez [40] when studying UV irradiation influence on HDPE and HDPE/CaCO3. In our study, irradiation of the material decreases tensile strength but increases yield strength. In the mentioned studies, UV irradiation increased gel content and crystallization. Normally, the oxidation starts from the outer layers since the process takes place in the air atmosphere. There is a directed structure of the matrix that is coaxial with the direction of tensile test axial force. The cross-linking process occurred in the whole sample, hence the entire sample stretched much more evenly.
The microstructure images of the failure location show that external layers of specimens are stiffened when the core is more flexible, Figure 10, which is a consequence of receiving higher dose of radiation. Material failure starts near the resin and fibre fragments where pores are created, Figure 10 b-c. However, the comparing results to samples modified with additives, the fracture zone is more homogenous.
Fig. 10.
The surface of irradiated specimens after the tensile test: a) macro view on the degraded surface; b) close-up view on fibres; c) close-up view on resin fragment on the surface of the rHDPE/rGFRP sample after the tensile test

Failure sections of the rHDPE/rGFRP irrigated composite. The inner layers are more ductile as shown in Figure 11 b-d. Fracture of the A series samples is much more brittle than B series. A significant difference can be observed when comparing B80 and B100 samples. The surface of the B80 sample does not detach as it does for the B100 sample.
. Thermal properties
The results of the DSC analysis of the composites modified with commercial additives before the irradiation test are shown in Figure 12 and collected in Table 3. The 2nd heating curves (Figure 12a) for all materials have single melting peak corresponds to melting of the crystal phase. It occured at 136 °C for the reference composite rHDPE/rGFRP, and it does not change after modification with additives. Similarly, the crystallization curves presented in Figure 12b have the same shape with narrow peak occur between 113-115°C for all composites. In the case of crystallinity content, a slight increase is observed for composites containing silica-based compatibilizer; however the highest increase is reached for composites modified by 3 wt% of MAH, from 61.1% up to 68.3%. It suggests that MAH increase the nucleation capacity of rHDPE or enhance the crystallization rate.
Tab. 3.
DSC parameters determined for the rHDPE/rGFRP modified with various additives
| Sample name | Tm,°C | Tc,°C | Xc,% |
|---|---|---|---|
| rHDPE/rGFRP | 136 | 114 | 61.1 |
| 0.2P | 135 | 114 | 61.0 |
| 0.5P | 137 | 113 | 62.2 |
| 1MAH | 136 | 114 | 63.3 |
| 2MAH | 137 | 113 | 62.4 |
| 3MAH | 135 | 115 | 68.3 |
| 0.3S | 136 | 114 | 63.9 |
| 1S | 136 | 114 | 64.0 |
| 2S | 136 | 114 | 61.4 |
Similar conclusions were reached by A. Hassan et al. [41], who used PP-g-MA for compatibilization of the glass fibres with polypropylene. These results are consistent with the mechanical properties, which are the highest for the composite modified with 3 wt% MAH. More crystal phase in the material results in better mechanical performance. The shift of Tc towards higher temperatures usually indicates faster crystallization associated with increased mobility of the polymer matrix chains [42]. Such an increase would be expected for the 3MAH sample. However, the observed rise is insignificant (only 1 °C higher compared to the reference sample).
The result of the DSC analysis of irradiated composite samples is is presented in Figure 13 and in Table 4. There are no effect or changes about maximum up to 4 °C on the melting and crystallization temperature of the irradiation doses used. However, some changes are observed in the crystallinity content due to the applied irradiation. After exposure to 60 kGy dose the crystallinity content decreases from 61.1% to 56.7%. Similarly, H. Ahmad et al., investigated HDPE cross-linking with dicumyl peroxide (2.5 wt%), thus reducing the crystallinity content by almost half. They explained this phenomenon by creating a three-dimensional crystalline lattice and lower mobility of chains, which was previously mentioned, making it more difficult for crystallization and increasing the time required to form crystallites and the crystal network [43].
CONCLUSIONS
Investigation of modifying tensile strength of rHDPE containing 40 wt%rGFRP indicated that it can be improved by mixing material with commercially available compatibilizers (Licocene® PE MS 431 and SilmaLink AX2292), and by γ-irradiation by selecting appropriate dose. The paper also includes results of DSC, SEM, and optical microscopy studies.
Summarizing:
– Maleic anhydride additive (3MAH) increases the tensile strength of rHDPR/rGFRP by 14% and offset yield strength by 16%. Silan-based additive (2S) also increases the material’s tensile strength (by 12%).
– Tested additives do not significantly impact on elastic modulus of the composite, max. enhancement for sample 2S equals 3%.
– Mechanical characteristics of rHDPE and filled rHDPE with rGFRP can be modified with γ-irradiation and stimulate internal polymerization of the material. The elastic modulus is increasing slightly. Irradiated rHDPE characterizes a higher offset yield than irradiated GFPR (as predicted by Wondrich [24]). On the other hand, the tensile strength is lower for irradiated rHDPE. This parameter increases only for the 100 kGy dose sample. Moreover, there is a constitutive relationship between irradiation dose and elongation at maximum strength, which decreases with higher doses.
During the tensile test, when the sample is subjected to tension, pores are formed at the matrix-filling boundary. Similar results were reported by Wang et al. that γ-irradiation can improve PE and PP blend strength and compounding properties [44].
– γ-irradiation can modify the mechanical characteristics and structure of rHDPE/rGFRP material. The modification level depends on the polymer composition and absorbed dose. A similar modification of structure was observed for the 3MAH sample and irradiated-smooth, shining with parallel patterns. Both also exhibit higher elastic modulus and offset yield strength than the reference samples. This can be a consequence of longer polymeric chains. Both approaches of modifying polymeric composition stimulate cross-linking when not significantly affecting melting temperature, crystallite temperature nor crystallite degree.
– DSC analysis exhibits that the chosen additives and their shares do not significantly influence the crystallization temperature, melting temperature, and crystallite degree. Only MAH 3 wt% additive increases for the crystallinity content of about 11.7% what means that it improves nucleation capacity or increases the crystallization rate.
As demonstrated El-Zyat et. al. [41], further investigation into the impact of gamma irradiation on the additive-enhanced material would be of value. Authors studied bio-composite rHDPE with sugarcan bagasse chemicaly modified with acetic anhydrate. In results gamma irradiation (50-250 kGy absorbed dose range) improves water resistance and shows higher thermal stability of composite modified by mentioned additive.
This paper is a further step towards a better understandingthe behavior of recycled polyethylene blends with compatibilizers. It presents the possibility of modifying rHDPE/rGFRP composite blend with γ-irradiation.






