INTRODUCTION
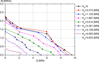
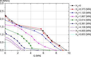
Machine rolling bearings selection is normally based on an assumed durability. Estimated external loads are initially converted to two main loads. The first load is a vector projected on rotation axis of the bearing (an axial force) and the second load is the vector (radial force) directed perpendicular to the first load. The main loads are then combined to the value of equivalent load which depends on the type of bearing rolling elements and desired durability, what allows to estimate required dynamic carrying capacity. The operating bearing conditions determine whether selection of the bearing is dependent on the value of a static or a dynamic carrying capacity. In order to minimize the bearing dimensions, the designed solutions of the bearing raceways have been shaped in such a way, in order that the given bearing adapt to one of the main loads. In practice, it can be interpreted that greater value of the main loads will determine a choice of the bearing type (in practice, it can be interpreted that greater value of the main loads, will determine a choice of the bearing type (between a radial and an axial bearing). Among the rolling bearings, slewing bearings play a more responsible role, especially when it is used in large-scale machines. In these types of rolling bearings, the external loads are combined similarly like in bearings, designed for general use. While bearing is being selected, all resultant forces may be projected into axial (axial force Q) and radial (radial force H) directions while a tilting moment M [1, 2] is a specific load of this rolling bearing type. In typical applications of slewing bearings, permissible external bearing load is dependent on static carrying capacity. The static carrying capacity of rolling bearings is determined by the deformation of the contact zone between the rolling element and race-way hence and then the so-called static carrying capacity characteristic is determined for newly designed slewing bearings. The characteristic is graphically presented as dependence of the tilting moment M from the axial force Q while the system is loaded by a constant value of the radial force H [2,3,4,5,6,7]. Such way of presenting the slewing bearing serviceability results from the following designed features (specifically distinguishing the slewing bearings from bearings in general use): assembly in support structures by means of bolts, track diameters which can be in a range of several meters, bearing rings load of high axial forces, high radial forces and high tilting moment, high deformability of a contact zone rolling element-raceway, application of various materials for the production of bearing rings and rolling elements, low-speed rotation of the rings, a large number of balls and / or rollers, in some systems - toothed rim incised on circumference of the one ring. Engineers use these curves when slewing bearing is selected for load conditions of machines [3,4,5]. As it results from the catalog review [3, 4], static carrying capacity curves of the slewing bearings have been determined only for the zero values of radial forces H. Based on work [3], it can be stated that if the value of a radial force does not exceed 10% of the maximum permissible axial force, the course of the static carrying capacity curve will not be shifted. Another approach to the problem of taking into account the radial force was presented in Ref. [5]. The bearing manufacturer introduces the relationships used to determine the so-called equivalent tilting moment Meq and equivalent axial force Qeq. These parameters are determined on basis values of external loads M, Q, H and application coefficient, the radial force H and a safety factor. The determined values of Meq and Qeq are plotted in the catalogs of static carrying capacity curves that have been determined for zero values of a radial force. If these values are located below the curve for checked bearing then this bearing can be selected as suitable for the rated load. A detailed reference, based on the calculation example, was presented in the paper [7]. Therefore, the identification of operating conditions of slewing bearings determination requires of the radial force share in a system of external loads. An influence of the radial forces (taking into account their sense) on the static carrying capacity of the twin slewing bearing has been demonstrated in the work [2]. The same type of slewing bearing was the subject of research of the authors of the publication [8]. The researchers using a classical model based on the static equilibrium of displacements of a rigid body and assumed durability determined the dynamic carrying capacity curves of the slewing bearing, taking into account an one radial force sense [8]. The researchers using a classical model based on the static equilibrium of displacements of a rigid body and assumed durability determined the dynamic carrying capacity curves of the slewing bearing, taking into account an one radial force sense [8].
The action of the radial force on a slewing bearing may be temporary (e.g. in an excavator with one bucket [9]) or continuous as in the case of a wind turbine [10] and a wagon tippler.
The impact of operate direction of the radial forces on the static carrying capacity of the slewing bearings was presented in Ref. [11].
It should be emphasized that the slewing bearing is the transmission element of a rotational torque between the pinion and the slewing bearing ring. There is a high probability of simultaneous operation of the external load components in one plane, which is common with the plane of the pinion symmetry at a point of teeth contact.
Continuous research and development of research methods used in slewing bearing problems analysis have great practical importance because of the fact that assembly processes of the slewing bearing are time-consuming and energy-consuming (due to size and weight). Slewing bearings in drive systems play a key role. A failure of a slewing bearing causes the machine to stop for an unpredictable period of time. Therefore, machine designers have a difficult task related to the selection of a slewing bearing in terms of its type and carrying capacity. Methods of determining static carrying capacity curves of slewing bearings are similar to each other and are widely described in publications [1, 2, 6, 10, 12, 13]. Each of the method boils down to determine the maximum force (reaction) which acts between the rolling element and the bearing raceway while components of the external loads (M, Q, and H) act on the bearing. Individual methods of determining the static carrying capacity of slewing ring bearings usually differ in the adopted range of bearings features which are included in created calculating models.
The basic features taken into account in the models of slewing bearings are: bearing clearance, initial clamp of bolts, flexibility of bearing rings, flexibility of a contact zone (raceway - rolling element), raceway hardness condition and bearing mounting structures susceptibility. The permissible load of a contact zone between the rolling element and raceway is a parameter that determines the carrying capacity of slewing bearings. Effect of technological treatments performed on the bearing raceways in reference to permissible carrying capacity of the contact area and durability tests are presented in the works [14, 15]. Evolution of a measurement technique based on the analysis of acoustic signals enables diagnostics and monitoring slewing bearings operation, what has been presented in the works [16, 19]. The descriptions of friction torque in slewing bearings are included in publications [20, 21]. Slewing bearings can also operate at elevated temperatures (e.g. in the Ljungstrom rotary air heater). Results of research on thermal loads of the slewing bearing can be found in the publication [22]. On the basis of the distribution of loads acting in the contact zones between rolling element and raceway, which are presented in the works [1, 6, 9, 12, 23, 24], it can be concluded that these loads cause change of bearing rings’ shape and deform the slewing bearing toothed ring. Simultaneously the geometrical mating conditions between the gears change.
The gear interaction, taking into account bearing ring flexibility, will undoubtedly affect a distribution of the forces loading the bearing balls. Since the force loads of the single contact zone rolling part - raceway decide about the slewing bearing static carrying capacity, however the static carrying capacity during mating the flexible toothed ring and the rigid pinion may by another. In the literature, there is a publication which concerns bearing clearance [12], preloads [25] and the stiffness of the support structures [9] in reference to courses of the static carrying capacity curves, whereas the influence of the gear condition of the toothed ring with the pinion on the course of the static carrying capacity curves, especially with the specific direction of external loads (M and H) seems to be unnoticed. Numerical studies of action gear pinion with the toothed ring of slewing bearing were carried out and based on the presented findings. The distributions of forces acting in the individual contact zones (ball - raceway) and static carrying capacity curves of the slewing bearing were determined with and without considering the conditions of the mating between the rim and the pinion.
A MODEL OF A POWER TRAIN WITH THE SLEWING BEARING
Acceding to formulated problem of slewing bearing load, the single-row ball slewing bearing with the four-point contact zone (made in Poland) has been considered. The choice of this bearing for study was dictated by the fact that this bearing is mounted in one-shovel tracked excavator F250H. A comprehensive model of the working structures of a body and a chassis of the F250H excavator connected with modeling the bearing was presented in work [26]. An outline of the bearing cross-section is shown in Fig. 1 and basic design parameters are listed in Tab. 1. A power train of excavator bodywork consists of a spur gear which basic parts are the pinion assembled in the bodywork and a rim made on an external slewing bearing ring. The basic parameters of the gear have been marked in Fig. 2 and listed in Tab. 2. Due to required distance between centers of gears and number of tooth of the pinion, the pair of gears have been subjected to profile shift.
Tab. 1.
Values of basic parameters of the single-row ball slewing bearing
| Parametr of the bearing | Value | |
|---|---|---|
| 1 | The track diameter of the bearing dt [mm] (Fig. 1) | 1105 |
| 2 | The ball diameter dk [mm] | 44 |
| 3 | Quotient rays of ball and receway kp [2, 34] | 0,96 |
| 4 | Dimension dzp[mm] (Fig. 1) | 1260 |
| 5 | Dimension dzo [mm] (Fig. 1) | 1200 |
| 6 | Dimension dwo[mm] (Fig. 1) | 1010 |
| 7 | Dimension dwp [mm] (Fig. 1) | 960 |
| 8 | High of the bering h [mm] | 137 |
| 9 | Dimension a [mm] (Fig 1) | 10 |
| 10 | Dimension b [mm] (Fig. 1) | 71 |
| 11 | Dimension hw [mm] (Fig. 1) | 117 |
| 12 | Dimension hz [mm] (Fig. 1) | 122 |
| 13 | Axial clearance [mm] | 0,5 |
| 14 | The clearance between the rings Lp [mm] (Fig. 1) | 7 |
| 15 | Nominal contact angle αo[°] | 45 |
| 16 | Row fill facctor | 0,83 |
| 17 | Number of bearing balls | 64 |
| 18 | The surface balls hardness | 62HRC |
| 19 | The surface raceway hardness | 56HRC |
| 20 | Number of the bolts mounting in the internal/external ring | 42/42 |
| 21 | The size and strength class mounting bolts by [DIN] [31] | M24-12.9 |
| 22 | Mounting tension force Sw [kN] | 242 |
Tab. 2.
Values of gears basic parameters
A sector of the profile shift was generated by using the Inventor program. Take into account complexity of the task posed, it was decided that the numerical calculations is based on the finite element method (FEM). In comparison with the analytical methods (classical) in which the main goal is idealization of the flexural-torsional stiffness of the bearing rings [6, 25] - FEM allows to take into account not only compliance of the bearing rings, but also compliance of the bearing bolts and compliance support structures.
In addition, in the case of the classical methods [6, 25], the relative displacement of the bearing rings caused by the loads have been considered as motion of a rigid body. In a slightly different way the susceptibility of the roller section- raceway contact zone have been defined.
According to above paragraph, with data contained in Tab. 1, a comprehensive model MES of single-row ball slewing bearing with the pinion in the environment of the ADINA [27, 28] have been developed, and presented as a mesh in a Fig 3.
Fig. 3.
A visualisation of finite elements of single-row ball slewing bearing, coupled with a drive pinion

The Fig. 3 shows: 1 - the bearing inner ring, 3 - outer ring, 2 - the upper and 4 - lower support structure, 6 - heads of the mounting bolts, and 7 - plate which have been discretized by eight-nodal finite elements type 3D-Solid [27–28], whereas 5 - the pinion and 3 - the toothed rim were discretized by twelve-nodal finite elements.
The mating conditions’ model between the toothed ring and the pinion was based on the methods of tooth profile discretization presented in [29] and the issues of the teeth contact strength [30].
In order to modeling balls by using replacement elements (described below), the bearing rings were discretized by finite elements arranged in the shape of slices. Number of these slices is equal to the number of balls in the bearing. The angular scale of the slice overlaps with the angular scale of a position of the balls in the bearing. Between the upper support structure and the inner ring and between the lower support structure and the external ring conditions of contact K (including the penetration condition and friction coefficient value μ= 0,1 [27, 28]) were defined as well as between a contour gear of the pinion and the bearing rim. Nodes containing the flat surface of the lower cover have been taken all degrees of freedom (Δx, Δy, Δz = 0). Similarly it was done in case of nodes describing a cylindrical pinion surface on which a drive shaft is mounted.
External load has been identified through FM, Q, HM, HN vectors. The static carrying capacity curve is determined as standard for the main system of forces M, Q, HM [11]. In the case under consideration, symmetry slewing bearing YZ plane was used to modeling the tilting moment and two opposite vectors of forces FM. The vector Q represents the axial force. Since the system of forces in the model enables consideration of radial forces, the following nomenclature is adopted: a major radial force HM and orthogonal radial force HN.
In the present task the main system of forces is contained in the pinion plane of symmetry at a point of tooth contact. The vectors of simulated loads have been hooked in the nodes one - element group of finite elements with No. 7. Group of finite elements with No. 7 was specially created as an object (plate plane) that intermediate during transmitting the load to support bearing structure (No. 2 and No.4). Nodes of group No. 2 contained in the plate plane 7 gave the conditions of displacements glue type [27]. This type boundary conditions are defined for elements of group No. 6, mapped the heads of the mounting screws and for rim coupled with outer ring. Boundary glue type conditions ensure an agreement of all displacements for all nodes which coordinates are contained in the same flat surface. The bolts have been modeled by finite elements type beam with an active bolt function [27]. The nodes of the individual beam type finite elements have been connected with finite elements of group No. 6 which represents the ends of the bolts and nuts in an assembly of the bearing and housing. Only in this way, the necessity to map the holes in the bearing rings was avoided, e.g. by defining discontinuities in the structures between the finite elements of groups no. 1, 2, 3, 4. This simplification reduces the number of finite elements and an accuracy of a calculation results in the static carrying capacity range are sufficient. An additional advantage is the shorter calculation time. Activation of the bolt function in the ADINA system enables definition of the bolt diameter, material parameters and mounting tension force [27] Sw (Tab. 1). Based on these data, the ADINA solver [27] during initial iterations calculates displacement caused by the Sw forces (according to guidelines of standard [31]) for all model nodes. In this case the slewing bearing is seated in an annular housing with the centering collar. Such a solution requires more precise shaping of the support structure, but in the system it reduces the transverse loads of bolts (reduction of shear stress). The dimensions of the support structure must ensure the appropriate system stiffness and are parametrically dependent on the bearing dimensions [3]. Those dependents was taken into account in the model during setting the dimensions of element no. 2 and 4. However, the most important simplification in the bearing model is balls replaced by an alternative finite element system called superelements [32, 33]. As it is shown in Fig. 4 the superelements consisted of beam system 2 with a high stiffness combined with truss elements 1, where the end nodes are located in the curvature centers of the bearing raceways 3 (points: A, B, C, D) and the nodes of finite element meshes of the internal and external rings. The truss elements 1 have defined multilinear material characteristics. A method of determining the necessary material characteristic is described in detail in [2]. Other statistical data regarding sizes of finite elements, the number of finite elements, and the sensitivity analysis of finite elements have been included in Appendix B.
Fig. 4.
Schematic position of bearing rings and replacement elements in a state before (a) and after (b) load inflicted with mapping changing of contact angle of balls in slewing bearing (c)

Material characteristics shall be determined on the basis of contact zone characteristics. Characteristics of the contact zone is defined as dependence the raceway deflection η caused by a contact rolling section force F.
This dependence can be:
− defined by carrying out on the basis of experiment,
− based on average over the values of the c and w coefficients and inserted into the formula 1, which sample values are function of osculation ratio kp to the roller bearing raceway what can be bring out from work [1]
− defined as a solution to the question of contact issue of the contact zone by using the finite element methods.
It should be emphasized that the characteristics of rolling bearing contact zone is also shown as the dependence of the maximum normal stress at the interface between the rolling pairs in the function of the proper load of the roller part (which is the quotient of force and the square of roller part diameter) which is wider described in [9].
Use of one of the two equivalent quality descriptions of the characteristics of the contact zone can be identified with respectively two equivalent criteria for determining the load capacity of a single contact zone:
− the criterion of plastic deformation in the contact zone,
− the criterion of maximum pressure values on the surface of the contact zone.
This study was based on the criterion of the permissible plastic deformation in the contact zone which, in accordance with the assumptions [34] should not exceed 0,0002dk. Hence, the maximum force value, which is allowed for a single ball-raceway contact zone was calculated in accordance with equation 2 [34] and amount Fdop = 158 kN.
The names of the formula symbols are given in the table 1. The remaining symbols represent the formula: aH, bH− coefficients of the elliptical contact area by [21], HV- raceway surface hardness of Vickers scale.
In contrast, the characteristic of the replacement contact zone of the bearing implemented in the model was determined according to the method described in [2] and is presented in Fig. 5. Additional information regarding, among others, the finite element mesh parameters of the contact zone model have been included in Appendix B.
The system of bearing model placeholders was represented by local deformations occurring in the ball-raceway contact zone and the change of contact ball angle and consequently allows for the appointment of distributions of the reactions acting on all balls in bearing rows. Knowledge of distribution of the forces acting on each of contact zone allows to build a static carrying capacity curve, because its carrying capacity is determined by the most loaded ball, and downforce balls into the raceway is not greater than the Fdop.
STATIC CARRYING CAPACITY CURVES OF THE SLEWING BEARING
Taking into consideration the issues which have been previously identified, the impact of the radial forces and the sense of the main radial force on the slewing bearing static carrying capacity has been taken into account. Identification of force sense was associated with the sign of its value what is contractual in nature and was suggested in [11]. This work shows that sense of the main radial force have significant impact on the course of the static carrying capacity curve of the single-row ball slewing bearing. In order to make the sign of the main radial force HM independent on an adopted local coordinate system and other directions and senses of an external loads, a definition of the main radial forces HM directed positively was formulated. In this situation, the attention is focused on the most heavily loaded contact zone. During calculations, when increase of the main radial force cooperating with the tilting moment and the axial force causes increase load in the considered contact zone, then the main radial force is called as directed positively. Whereas, when the load of this contact zone is decreases then the sense of the main radial force is considered as negative (main radial force directed negative positively). If an orthogonal radial force HN replaces the HM force in the main load system, then the orthogonal radial force does not identify sense because the sense of this force has no effect on the course of the static carrying capacity curve. Points of the static carrying capacity curves are determined an iterative manner. At the beginning of calculation in the FEM model, the individual components of the external load M, Q, H were asked incrementally (according with the individual values of time steps t). As an effect of iterations, incremental growth of the external loads generated the distribution of resultant reaction of the individual contact zones. Series of calculations were ended when one reaction acting at the point of contact ball with the raceway was equal to the force limit Fdop.
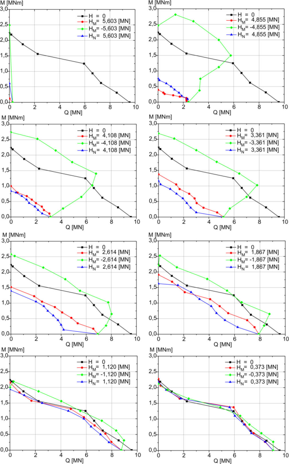
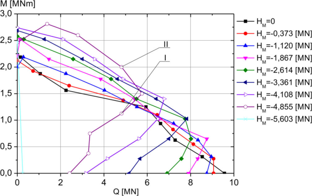
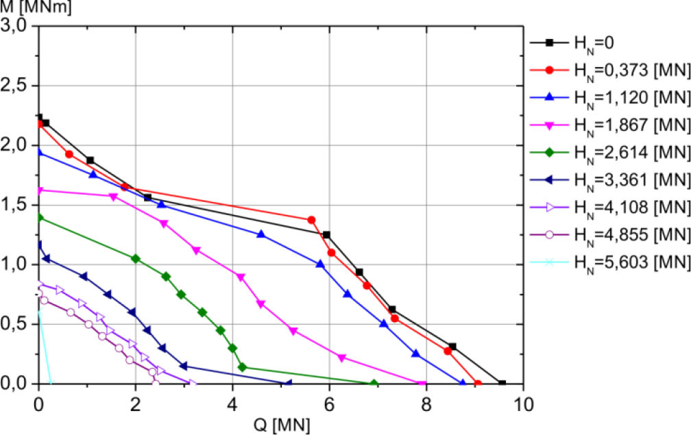
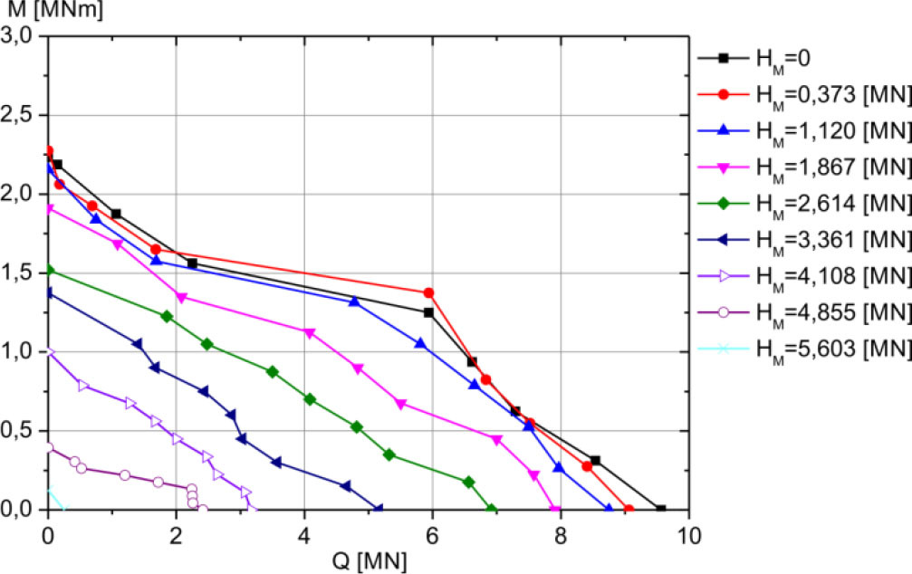
A full static limiting load curves of the slewing bearing have been presented in Figures A1–A4 [11] (Appendix A) but without taking into consideration the gear conditions. These charts show the influence of radial forces (specifically directed) on courses of bearing static carrying capacity curves (Q, M). A significant loss of static carrying capacity is caused by the radial forces HN directed orthogonally and the radial forces HM directed positively (Fig. A1). On the basis of these results (Q, M), for given radial forces HN (Fig. A4) and HM (positively – Fig. A2 and negatively - Fig. A3 directed), using the model presented here, comparative calculation were performed. It was concluded that plane created during the main system of forces is the plane of pinion symmetry the radial forces HM (directed negatively) and HN does not cause a change of the bearing static carrying capacity. A loss of the static carrying capacity occurs when the radial force HM is directed positively. This is especially noticeable when the radial force HM is about 15% of the maximum allowable axial force Qmax (M=0, HM=0, HN=0). In considered case the bearing radial force is HM=1,120 [MN]. This load was implemented in the FEM slewing bearing model (Fig. 3) with taken into account gear condition. The static carrying capacity curve was determined for this load. In Fig. 6 there are shown courses of the static carrying capacity load curves of the slewing bearing with and without taken into consideration gear condition.
Fig. 6.
Juxtaposition of static carrying capacity curves of the single-row ball slewing bearings loaded by radial forces directed positively with and without taken into consideration gear condition

In order to identify the potential causes of the presented problem, the distributions of forces acting on the individual ball - race-way contact zone of analyzed bearing for selected characteristic operation points (I and II marked in Fig. 6) have been shown in Fig. 7. The maximum allowable radial force for the assumed simulation conditions has been amounted at the level of Hmax=3,3 [MN]. Whereas in case when the gear condition was omitted, a maximum value of the allowable radial force has been amounted Hmax=5,977 [MN]. Decrease of Hmax value is an effect of a distribution of the forces loading of balls. The distribution of forces acting on the individual contact zone ball - raceway for both cases modelled bearings have been presented in Fig. 8. The elements of statistics were used for a quantitative assessment, allowing to describe the nature of load of the bearing contact zones and at the same time to determine the origin of the course of the considered static carrying capacity curve. In the presented bearing a four-point raceway-ball-raceway contact zone is identified.
Fig. 7.
Comparison of distributions of the forces acting on balls of the single-row ball slewing bearing for the points of work: I and II according to Fig. 6, β- angular coordinate

Fig. 8.
Comparison of distribution of the forces acting on balls of the single-row ball slewing bearing for the maximum radial force with taken into consideration (Hmax=5,977 [MN]) and without(Hmax=3,3 MN) the gear condition, β- angular coordinate

During the complex state of external loads of the slewing bearing, some of contact pairs do not carry the load so zero values of forces acting on balls during the machining of the statistical distribution of balls reactions have been omitted. An arithmetic average (Eq. 3) and the standard deviation (Eq. 4) was determined on the basis of identified values (variance).
where: Fi [N] – forces acting on balls (balls reactions of the single-row ball slewing bearing), n – number of compressive forces of the balls (values greater than zero)These values (for the presented in Fig. 7 and 8 of the distribution of balls reactions) have been listed in Tab. 3.
Tab. 3.
Juxtaposition of statistical parameters describing the nature of the load of ball of single-row ball slewing bearing (Fig. 8) for the selected points of work I and II (Fig. 7)
Similar FE models of slewing bearings installed in heavy-duty machines were experimentally verified by the authors of the works [35, 36, 37]. Since methodology for modelling slewing bearings presented in this article is based on the same assumptions, additional experimental verification of the model was not conducted.
It should be emphasized that formula 2 was determined based on experimental tests of the load capacity of a contact zone for the system ball-raceway.
In order to check the obtained results (similarly as in work [13]), the static carrying capacity curve of the slewing bearing was determined using a classical method called by the authors of the work [38] - the continuous loading method. Since this method does not make it possible to take into account the conditions of cooperation between a toothed bearing’s ring and a drive pinion, the additional curve presented in Fig. 6 can be compared with the curve obtained based on the FEM model and described as: load curve without taking into consideration the gear conditions. This curve according to the model [38] gave an intermediate solution in the presented case.
SUMMARY
On the basis on performed simulation, made by developed bearing model including gear conditions, it is found that the operation of the radial forces directed to the pinion causes a decrease of the static carrying capacity of the slewing bearing. Therefore an area of work described as a course of static carrying capacity curve of the slewing bearing cooperating with a pinion and loaded by positive radial force is smaller. Hmax force is smaller about 45%, and Mmax value (Fig. 6) for the HM value amounts only 15% Qmax, is smaller about 27%.
A review of the load distribution for individual load conditions in both models allows to explain the loss of the bearing static carrying capacity.
According to statistical evaluation criterion of the strength properties of the slewing bearings (more widely presented in the work [11]) for the gear condition of the rim and the pinion, the values of arithmetic averages of ball reactions at contact points with the raceways are much smaller than in case of model without pinion. Thus, higher loads are accumulated to the smaller number of pairs of contact. According to the statistical criterion of slewing bearings, the best load conditions for the contact zones between balls and raceways occur when the mean values of the ball reaction are as high as possible, and the values of the standard deviation as low as possible.
Limitation of the static carrying capacity also arises from the condition of contact strength of the pinion and rim and it will be the subject of an another publication in this scope. During a deformation of a bearing ring the contour of the deformed toothed ring differs from a circular outline and causes that a distribution of the contact pressures along the side surface of the tooth is irregular. The distribution of displacements in the direction of the radial force HM for operation points marked in Fig. 6 as II is shown in Fig. 9. The orthogonal projection (on the XY plane) of the deformed profile of the toothed ring has a shape which can be approximated as an ellipse. The reasons for such state are both - the condition of the external load (Q, HM, M) and a limitation of displacements caused by the mating conditions between the toothed ring and the pinion (forces resulting from a contact of the teeth). The most loaded contact zone of the ball-raceway (Fig. 7) is located on the direction of the line connecting the rotational axes of the toothed ring and pinion.
Fig. 9.
The distribution of displacements in the direction of the radial force HM for operation points marked in Fig. 6 as II

As a result of the identified deformations the working pressure angle αw is decreased. These phenomena also has an impact on teeth strength.
The conditions of load external considered for the slewing bearing assembled in the structures of the one-shovel tracked excavator are extremely dangerous. Such a state of loads (not stipulated in the standards [3,4,5]) in the machine may be uncommon, but in specific operating conditions it may appear cyclically. Therefore, when the slewing bearing is selected, this issue should be taken into account. If the bearing cannot be adjusted to such extremely loads, a system should be protected against the possibility of indicated dangerous loads’ cumulation.
The use of FEM for modeling a phenomena occurring in slewing bearings has many advantages over classical methods.. The most important advantage is the ability to easily increase the number of implemented parameters which changes can be analyzed, e.g. the axial clearance, the mounting tension force, selection of the number of bolts, dimensions of support structure.
The presented model of the slewing bearing complements the missing features of the model presented by author of this work in the previous article [2]. Compared to the models of other authors (Tab. 4), the slewing bearing model was expanded to include defined conditions of cooperation between a toothed bearing’s ring and a drive pinion, taking into account the contact conditions between the teeth. The characteristics of the contact zone (Fig. 5) were determined using a material model of the ball and raceway, taking into account the elastic-plastic state.
Tab. 4.
Overview of features characterizing individual FE models of slewing bearings against the model presented in the article [*]
| Feature of the presented model | Reference number | |
|---|---|---|
| 1 | The use of replacement elements for modeling rolling parts | [1], [2], [7], [9], [11], [13], [15], [18], [24], [25], [26], [32], [33], [35], [36], [37], [38],[*] |
| 2 | Taking into account the support structures in slewing bearings | [2], [7], [9], [10], [11], [25], [26], [32], [33], [35], [36], [38], [*] |
| 3 | Taking into account interactions between the bearing and bolts | [1], [2], [7], [9], [11], [13], [25], [26], [32], [33], [35], [36], [38], [*] |
| 4 | Taking into account flexible rings | [1], [2], [7], [9], [10], [11], [13], [15], [18], [24], [25], [26], [32], [33], [35], [36], [37], [38], [*] |
| 5 | Taking into account of radial forces | [1], [2], [7], [9], [10], [11], [13], [15], [18], [24], [25], [26], [32], [33], [35], [36], [38], [*] |
| 6 | Modeling of the contact zone taking into account the elastic-plastic material model | [2], [7], [11], [15], [18], [24], [26], [33], [35], [36], [*] |
| 7 | Modeling of the bearing taking into account the cooperation conditions between a toothed bearing’s ring and a drive pinion | [*] |









