INTRODUCTION
Composite nanomaterials, such as graphene sheets and carbon nanotube that have been used as reinforcement elements in various materials types, represent some of the most innovative reinforcement techniques available today. Graphene is a material characterized by its excellent electromechanical and thermal properties. Graphene exhibits a tensile strength of approximately 130.5 GPa and an elastic modulus exceeding 1 TPa. Its electrical conductivity surpasses that of copper by a factor of 1000 in terms of current carrying capacity. Graphene is composed by a fundamental structure that consists of carbon atoms are organized in a regular hexagonal structure, resembling graphite, but in a different form a single layer one atom thick. Additionally, graphene is exceptionally lightweight a sheet of one square meter has a weight of only 0.77 mg. Due to its exceptional properties and success for enhancing materials, graphene has been employed by researchers in several studies[1],[2] and [3]. Particularly, a number of publications have investigated the use of this material to reinforce structures. The mechanical characteristics of epoxy nanocomposites strengthened with weight fraction 0.1% graphene Nano platelets (GPLs) and carbon nanotubes (CNTs), respectively, were studied and compared by Rafiee et al. [4]. They discovered that graphene nanocomposites had far greater tensile strength, Young's modulus, and fracture toughness are higher in pure epoxy compared to other materials, and that GPLs greatly surpass CNTs in terms of enhancing mechanical characteristics. Kundalwal et al. [5] reviewed various micromechanics models to predict the thermomechanical properties of fiber and Nano reinforced composites, highlighting their applicability to advanced materials such as graphene based systems. More recently, studies have shown that graphene not only improves the mechanical performance of nanocomposites but also exhibits piezoelectric behavior due to pores, curvature, and flexoelectric effects. Analytical, numerical, and molecular dynamics models confirm that these effects significantly influence the electromechanical response, making graphene reinforced nanocomposites highly promising for developing lightweight sensors, actuators, and other smart devices. Wu et al. [6] explored the dynamic instability of functionally graded nanocomposite beams reinforced with graphene platelets (GPLs) under thermal loading and periodic axial forces. By combining the Halpin Tsai model with the differential quadrature method, they showed that placing more GPLs near the outer surfaces increases the natural frequencies and improves stability. Their results also highlighted that higher temperature and axial compression reduce stiffness and enlarge the instability region. Qa-deri et al. [7] studied the free vibration of multilayer graphene platelet reinforced composite (GPLRC) beams resting on a viscoelastic foundation. Using the Halpin Tsai model and higher-order shear deformation theory with Navier's solution, they examined the influence of GPL distribution, foundation parameters, and damping. The results showed that adding GPLs and increasing the Pasternak foundation stiffness significantly improve the natural frequencies, while higher damping reduces them. The nonlinear bending behavior of multilayer polymer nanocomposite beams reinforced with graphene platelets (GPLs) is investigated by Feng et al. [8]. The analysis is developed within the framework of Timoshenko beam theory combined with the von Karman nonlinear strain displacement relation, while the effective properties are estimated using a modified Halpin Tsai model. By employing the Ritz method, the authors conduct a detailed parametric study to assess the effects of GPL distribution, geometry, weight fraction, size, and number of layers. The results highlight that even a small amount of GPLs can considerably enhance stiffness and reduce deflections, with the most effective reinforcement achieved by dispersing square-shaped GPLs near the beam's top and bottom surfaces. Barati and Zenkour [9] examines the post-buckling behavior of porous nanocomposite beams reinforced with graphene platelets (GPLs) and sup-ported by a nonlinear hardening foundation. The beam model incorporates shear deformation effects without the need for correction factors, while the material properties are determined using the Halpin Tsai micromechanics model. The authors investigate the combined influences of porosity distribution, GPL distribution, weight fraction, geometrical imperfections, and foundation stiffness on the nonlinear buckling response. Results reveal that porosity and GPL reinforcement play a decisive role in the stability of both perfect and imperfect beams, with symmetric distributions of porosity and GPLs providing the highest post-buckling load capacity. In contrast, uniform porosity weakens structural performance. Moreover, stronger foundation parameters enhance post-buckling resistance, whereas initial imperfections significantly affect the deformation path near critical loading. Mitao et al. [10] analyze the free and forced vibration behavior of functionally graded multilayer graphene platelet (GPL)/polymer composite plates using first order shear deformation theory. The material properties are determined through the modified Halpin Tsai model and the rule of mixtures, while the governing equations are solved via a Navier based approach for simply supported plates under dynamic loading. A detailed parametric study highlights the effects of GPL distribution, weight fraction, geometry, size, and number of layers on the vibrational performance. Findings show that even a small addition of GPLs can significantly enhance natural frequencies and suppress dynamic deflections. The most effective reinforcement is obtained when square-shaped GPLs with fewer graphene layers are concentrated near the top and bottom surfaces. Furthermore, adopting a multilayer configuration with about 10-15 layers provides a reliable approximation of the graded profile while maintaining low manufacturing costs. Zhou et al. [11] investigated the free vibratory answer of functional graded porous nanocomposite rectangular plates structure via the general differential quadrature method (GDQM) and series solution. The inner porosity and graphene platelets (GPLs) are dispersed inside the matrix in three distinct arrangements, either uniformly or non-uniformly. Sobhy et zankour [12] based on shell theory with four variables for shear deformation. An investigation is conducted on the free vibration behavior of composite shallow shells with dual curvature and elastic foundations that are strengthened by functional graded graphene platelets. The Hamiltonian approach is employed to derive the system equations of motion, which are subsequently tackled analytically. Ganapathi et al. [13] utilized higher order trigonometric shear deformation law to examine the dynamic motion behavior of FG-GPLs reinforced porous curved beams while taking thickness stretching into account. Mazari et al. [14],[15] have recently conducted complementary studies on the vibrational behavior of graphene platelet reinforced compo-site (GPLRC) beams under distinct external fields. In the first study, the vibration of a nanocomposite beam subjected to a uniform thermal effect was analyzed using a semi-analytical Galarkin solution in combination with a linear regression machine learning model. In the second study, the beam was investigated under a non-uniform magnetic field using the same semi-analytical solution method coupled with other machine learning techniques. Together, these works demonstrated that GPL distribution patterns, slenderness ratio (L/H), and external field intensity play a decisive role in governing the natural frequencies and overall dynamic response of GPLRC beams. Piezoelectric components have been widely employed in several essential industrial models and intelligent infrastructures. As a result, they have the ability to transform mechanical energy into electrical energy and vice versa. These special qualities are utilized in many different applications, including sensors, actuators, and power devices [16] and [17]. El Harti et al. [18] investigate the active vibration control of a porous functionally graded (FGM) beam operating in a thermal environment using piezoelectric sensors and actuators. The model is developed using the finite element method and Euler Bernoulli beam theory, with the equations of motion derived from Hamilton's principle. Material properties vary through the thickness following a power law, and the study examines the effects of temperature, porosity, and sensor placement. Results show that increasing the power law exponent lowers the natural frequencies due to reduced stiffness, while porosity and temperature amplify vibration amplitudes. Sensor location significantly affects control performance: placing sensors near the free end leads to larger vibration amplitudes and reduces the effectiveness of active control. Zenkour and Aljadani [19] analyze the electro-mechanical buckling of functionally graded piezoelectric plates using a quasi-3D refined plate theory that incorporates thickness stretching effects. The governing equations are derived from the total potential energy principle, and an exact solution is obtained for simply supported rectangular plates with material properties graded through the thickness according to a power law. Results show that including thickness-stretching leads to lower critical buckling loads compared to models that neglect it. Increasing the material exponent reduces stiffness and decreases the buckling load, while the sign and magnitude of applied electric voltage have a strong influence on buckling behavior. The findings provide valuable insights for the design and optimization of FGP plate devices under combined mechanical and electrical loading. Alazwari et al. [20] employed the Differential Quadrature Method (DQM) is utilized to examine the crucial buckling temperature of piezoelectric circular Nano plates that are strengthened with evenly dispersed graphene platelets (GPLs). The Nano plates are positioned on a flexible substrate and exposed to an external electric field. The results showed that increasing graphene content, elastic foundation stiffness, and electric field enhances buckling resistance, while moisture reduces it. The influence of boundary conditions and nonlocal effects was also highlighted. Qingqing Chen et al. [21] Examine the impact of flexoelec-tricity upon the vibration behavior of a sandwich Nano beam made of spatially graded porous piezoelectric material and enhanced with graphene platelets (GPLs) using the differential quadrature method. This numerical analysis demonstrates that porosity, GPLs, and flexoelectricity play a crucial role in governing the vibration behavior of Nano beams. Sobhhy and Mukahal [22] investigated the natural oscillation of piezo electromagnetic plates enhanced by FG graphene Nano sheets (FG-GNSs) under the influence of outer electric and magnetic potentials. The results show that the fundamental frequency increases with higher graphene content, magnetic potential, and foundation stiffness, while it decreases with larger electric potential, aspect ratio, side to thickness ratio, and power-law index. Mao and Zhang [23] investigated the buckling and post-buckling behavior of a piezoelectric plate strengthened with functionally graded graphene. The plate was subjected to electric potential and axial pressures. The researchers employed the differential quadrature technique and the first order shear distortion plate theory to analyze the plate's response. Liang et al. [24] developed linear and nonlinear isogeometric finite element models for axially functionally graded graphene platelet reinforced compo-site (AFG-GPLRC) curved beams within the framework of third order shear deformation theory and von Kármán’s nonlinearity. Using the modified Halpin Tsai model and rule of mixture to predict effective material properties, and solving the governing equations via an isogeometric analysis (IGA) approach, they validated their framework against available results. Their parametric study demonstrated the significant influence of geometric parameters, boundary conditions, and GPL distribution patterns on the nonlinear bending and vibration responses of AFG-GPLRC curved beams. Zhang et al. [25] investigated the nonlinear free vibration and static bending of functionally graded porous graphene platelet reinforced composite plates with integrated piezoelectric patches, incorporating the flex-oelectric effect for the first time. Using the Halpin Tsai model, rule of mixture, and GRF scheme to evaluate effective material properties, they developed an isogeometric analysis framework based on FSDT and von Kármán nonlinearity. Their results highlighted the significant influence of porosity, GPL distribution, and weight fraction on the mechanical response, showing that the flexoelectric effect introduces a stiffness hardening mechanism in piezoelectric smart structures. Results show that GPLs, especially when concentrated near the surface, significantly improve strength, negative electric voltage enhances stability, and uniaxial loading provides nearly twice the resistance of biaxial loading. No research has yet examined the free vibration behavior of multilayer piezoelectric nanocomposite beams reinforced with functionally graded graphene platelets, under the combined influence of an external electric voltage, a uniform temperature change, and different boundary conditions. This paper addresses this gap by employing a quasi-3D beam theory with stretching effects. The equations of motion are derived using Lagrange’s principle and solved through a robust numerical approach specifically, the differential quadrature finite element method (DQ-FEM), which integrates the finite element method with the differential quadrature method and has been recently applied in this study [26]. The effects of graphene platelet weight fraction, distribution patterns, length to thickness ratio, and number of layers, external electric voltage, temperature variation, and boundary conditions on the natural frequencies of multilayer functionally graded graphene platelet reinforced nanocomposite beams are systematically investigated.
GPLRC BEAM MODEL
In this study, we consider a multilayer piezoelectric nanocomposite beam reinforced with functionally graded graphene platelets, with dimensions L, b, and h.
As seen in Figure 1(a). Throughout the cross sections are defined four different types of reinforcement considered in the current research. The beam has NL layers of uniform thickness for each layer of thickness h/NL, as indicated in Figure 1(b).In the FG-X type GPLRC beam distribution, the surface layers contain more GPL, whereas in the FG-O GPLRC type, the mid layers are enriched with GPLs. Conversely, in the FG-A GPLRC arrangement, GPL content steadily rises from the uppermost to the lowermost layer. Notably, in a UD GPLRC beam, GPL content remains consistent across all layers. Evidently, the FG-A GPLRC has asymmetry, but the remaining three distributions display symmetry with respect to the midplane [6], [27], [28] and [29].
This study investigates structurally graded GPLRC layered beams with an even number of layers. The calculation of the volume fractions vGPL of the kth layer are obtained for each of the four distribution patterns as see in Figure 1 by:
where NL represent is the entire count of layers in the composite beam and k = 1, 2...NL is the kth layer. The overall volume fraction of GPLs is determined using:
with
wGPL: the weight fraction of GPLs,
ρGPL: density of graphene platelets,
ρm: polymer matrix beam density.
To calculate the appropriate efficient Young’s modulus E of the beam, the enhanced Halpin-Tsai law is utilized, which considers the impacts and size of GPL geometry.
where
LGPL, aGPL and hGPL represent the nominal length, depth, and thickness related to graphene, correspondingly, while EM and EGPL are the Young’s moduli of the piezoelectric matrix and GPLs.
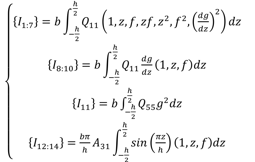
The determination of the following physical parameters, effective linear thermal expansion coefficient α, mass density ρ, Poisson’s ratio v, and electrical properties Aij has been done according to the rule of mixtures as:
In which Vm + VGPL = 1 indicates the connection within the volume fractions of the GPL and piezoelectric matrix, VGPL and Vm.
EQUATIONS OF MOTION
In which Vm + VGPL = 1 indicates the connection within the volume fractions of the GPL and piezoelectric matrix, VGPL and Vm. The quasi-3D theory is employed in this study to establish the kinematic relationships of the beam. A key advantage of this theory lies in its ability to account for thickness stretching, which is essential for accurately analyzing thermal vibrations. The displacement expressions associated with the beam’s kinematics are given as [30]-[31] and [32]:
Here, u0 represents the axial displacement of the mid-plane, while the transverse deflection W is decomposed into three components: wb, ws, and wz. The first two components correspond to the bending and shear displacements, whereas wz (x) accounts for the stretching contribution.
The warping function f(z) mention in equation (13) is used to describe how both crosswise shear strain and shear stress vary across the thickness of a composite beam.
Based on the quasi-3D displacement field, strain relations are expressed as follows:
This is the constitutive relationship for the stresses compo-nents, according to the piezo elasticity theory [33]:
By which the Qij denote the elastic coefficients of the beam that can be stated as:
In addition, T is the applied temperature.
In which, T0 represent the ambient room temperature and ∆T is the constant temperature variation.
Moreover, the electric displacements Di have the following writing:
The relationship of the electric field is:
Whereas ψ is the intermediate surface electric potential of the beam and V0 is the external electric voltage.
EQUATIONS OF MOTION DERIVATION
The motion equations can be extracted from Lagrange's principle in the next form:
Where qi are the unknown coefficients u0, wb, ws et wz.
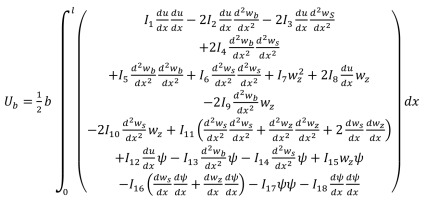
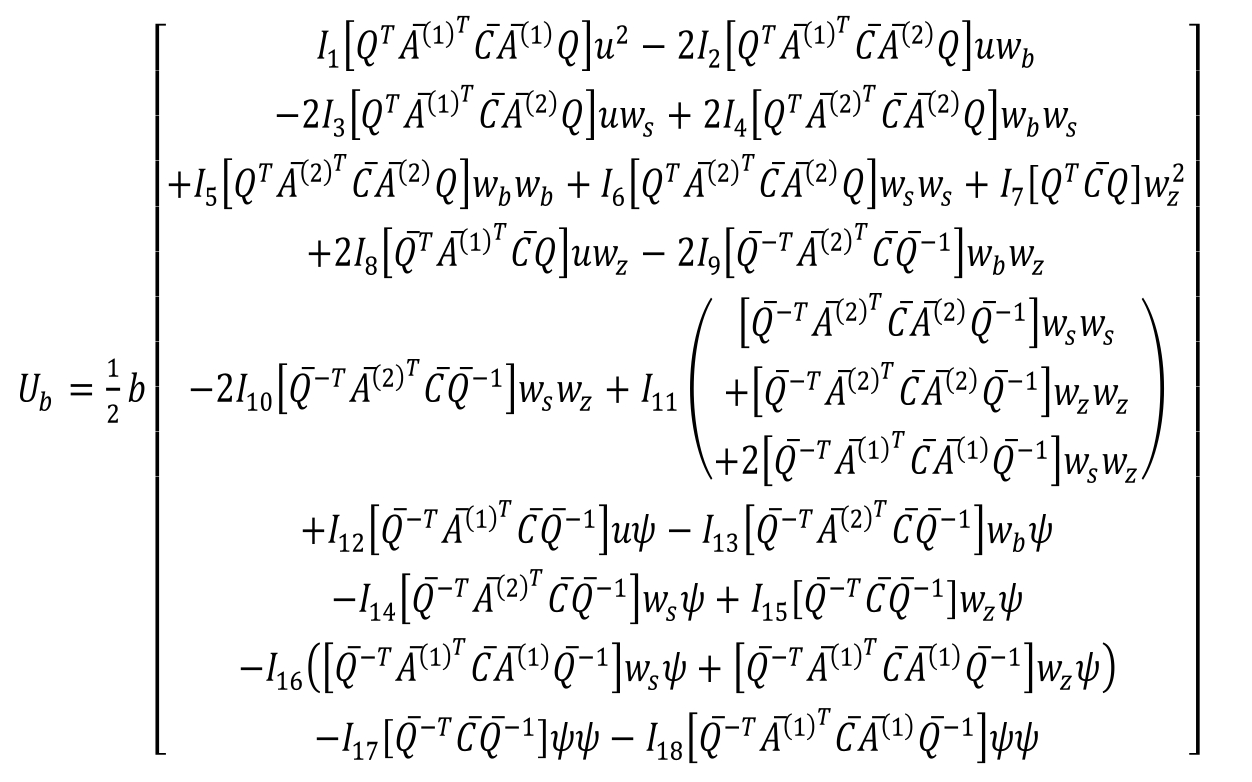
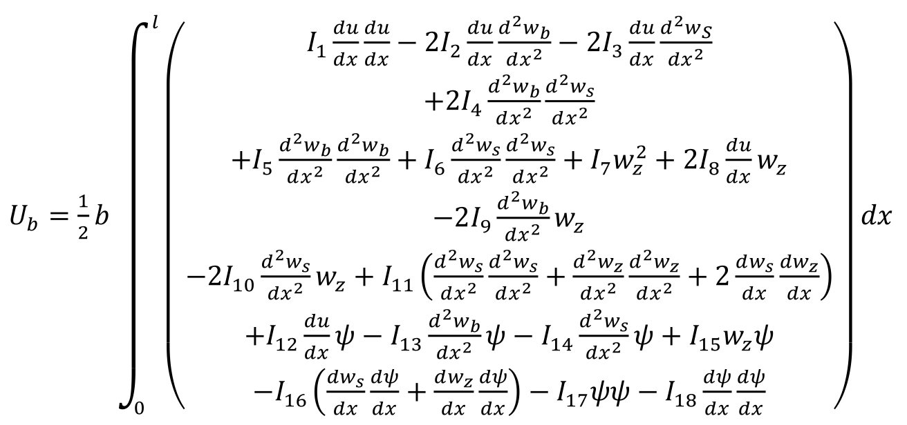
Where the strain energy is written as follow:
By substituting Eqs. (16), (17), (20), and (21) into Eq. (24), the final formulation of the strain energy is obtained as presented in Appendex A (see Eqs. (A.1)– (A.3)).
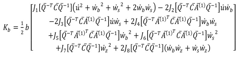
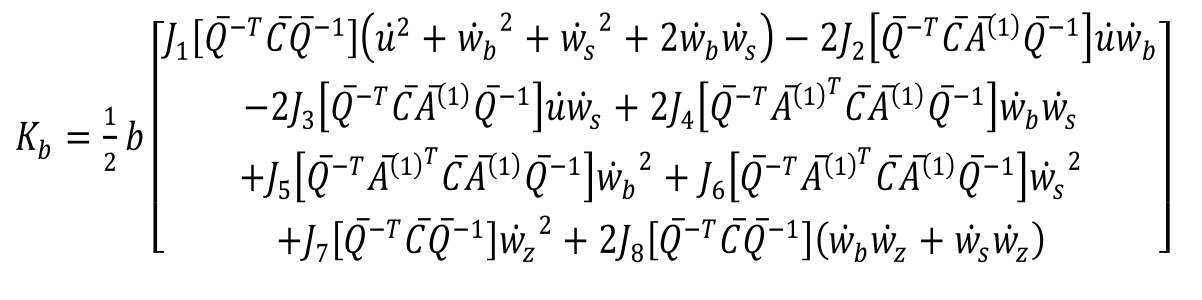
The defined kinetic energy Kb related to studied problem is provided by next formula:
The following formula is obtained by deriving the displacement field and replacing it in the earlier equation.
27
where
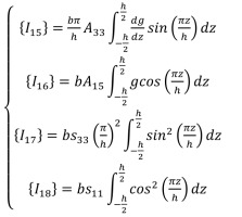
Using Eq. (29), the potential energy Vb of the multilayer FG-GPLRC beam in response to an applied externally applied electric voltage and a constant temperature variation is described [6]:
with
Equation (31) is the result of substituting Equations (29)–(30):
THE COUPLED DIFFERENTIAL QUADRATURE FINITE ELEMENT METHOD
. The improved differential quadrature rule
Differential quadrature technique is numerical method that estimate the derivatives of a given function by calculating a weighted sum of field variables along a line that passes through a certain point. The test functions for polynomial basis functions DQM are implemented using a collection of Lagrange polynomials [[26]26,37].
Hence, the derivative of the subject function f(x) of degree n at a discrete position xi may be expressed as:
The weighting coefficient, denoted as
where
The given recurrence connection is utilized to compute the weighting factors for second and larger-order derivatives. If n > 1, which is given as:
. Gauss-Lobatto quadrature principle
Gauss-Lobatto quadrature rules refer to a mathematical topic is available in various works of mathematics. The quadrature rule of Gauss Lobatto for a given function f(x) as prescribed in [-1, 1] with a degree of accuracy (2n-3) is as follows [26]:
Integration can be obtained using the Gauss-Lobatto weighting coefficient Cj as follows:
The (j-1) root of the primary derivative of PN-1 (x) is denoted by xj. Equations (38) and (39) of the recursively formula will be used to solve the Legendre polynomials' roots. This will facilitate the pro-cess of locating numerous roots.
By whichP0(x) = 1, P1(x) = x. The following formula can be used to find the nth order derivation of the Legendre polynomials:
The selection of sampling points depends on the grid distribu-tion of Gauss-Lobatto nodes to offer a higher density of points near the boundaries.
Iteratively solving Gauss-Lobatto nodes is done using the New-ton-Raphson technique.
in which
In the ith iteration step, k represents the value of x. This ap-proach exhibits less sensitivity to the beginning value. Equation (46) provides the numerical estimations that are utilized like initial values.
. The enhanced Finite element method based Differential Quadrature
A variety of engineering problems can be solved numerically with the help of the finite element method (FEM), which is recognized as an efficient numerical tool.
Unfortunately, there are instances when this approach struggles with numerical instability, speed of computation, and convergence. To improve its robustness, stability, and speed in the calculus, this method must now be combined with other numerical or semi-numerical methods. With the purpose to parametrize the system energies, “the differential quadrature “rules and Gauss-Lobatto quadrature are applied [26].
Considering that the function of deflection is:
Where the Lagrange polynomial is represented by Li, the motions of the Gauss Lobatto quadrature nodes or the DQ nodal shifts of the beam finite element are represented by ui and Wi.The formulas for strain, kinetic and potential energies in equations (A.1-27-31) may be expressed are presented in Appendix A as Eqs. ((A.4)-(A.6)), using Gauss-Lobatto quadrature and DQ rules.
Equations (33–35) are used in order to compute the matrices containing the weighting factors for the DQ procedures for the initial and second order derivatives, correspondingly, by respect to the Gauss Lobatto nodes. These matrices are shown by A(1) and A(2).
Where Cj represent the corresponding weighting factors of in-tegration by Gauss-Lobatto.
To achieve coherence within elements, the element motion vec-tors must be constructed:
The relationship between u and w is established by the utilization of the DQ rule:
with
52
For quadrature and differentiation, all node distribution types are [-1, 1]. Thus, to utilize them in practical applications, it is necessary to make the following modifications to the differential and quadrature matrices:
By which the length of the beam element is written by le.
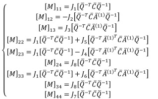
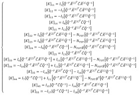
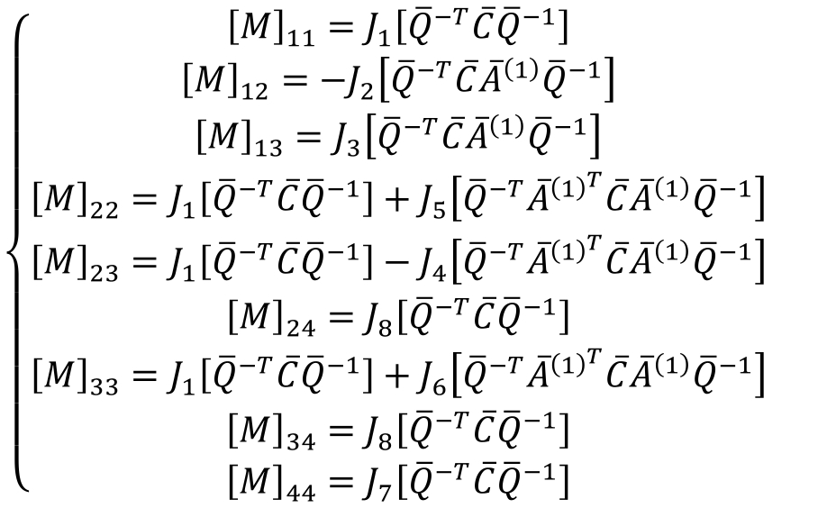
It is possible to replace the energy using Eqs. (32)–(52). To derive the fundamental equations of motion, Eqs. (A.1), (27), and (31) are combined to obtain Eq. (A.7), where the constituents of the mass and stiffness matrices are presented in Appendix as Eqs. (A.8) and (A.9), respectively.
NULERICAL RESULTS
This section presents the comprehensive quantitative findings for the dynamic examination of a piezoelectric beam reinforceded with functionally graded graphene platelets that was exposed to an external electric voltage in a thermal environment considering several ends supports, including clamped- clamped (CC), simply supported- simply supported (SS), clamped-free (CF), and clamped-simply supported (CS). Unless specified otherwise, the simply sup-ported-simply supported (S-S) beam and the following constant data were used in the numerical examples:
The non-dimensional natural frequency indicated below is used for all findings in tables and figures.
The piezoelectric matrix and GPL properties are presented in Table 1 as [21] and [32].
Tab. 1.
Material constituents and properties
. Convergence investigation
To investigate the convergence of the current assessment, Table 2 lists the non-dimensional basic frequencies of S-S multilayer GPL/piezoelectric nanocomposite beams with various reinforcing forms, such as “UD, FG-O, FG-X, and FG-A”. This study considers varying numbers of elements and grid points, with a fixed number of layers NL=20, L/h=5 and a weight fraction WGPL=0,5%. In Figure 2, the number of elements is fixed at Ne = 1 while the number of grid points is varied. Conversely, in Figure 3, the number of grid points is fixed at N=6 while the number of elements is changed.
Tab. 2.
Convergence study of DQFEM related to linear free vibration nanocomposite beam armed with GPLs
Fig. 2.
Convergent of the vibration frequency of a piezoelectric beam armed with GPLs as a function of the amount of grid points

Fig. 3.
The convergence of the natural frequency of a piezoelectric beam reinforced with graphene platelets as a variable dependent on the quantity of components

As observed in Figures 2 and 3, the outcomes begin to converge at N=4 with Ne=1, and achieve full convergence at N=6 with Ne=1. These results confirm the efficiency of the proposed method in delivering highly accurate solutions with minimal computational increments. In addition, the convergence behavior is not affected by the type of graphene platelet distribution, which mainly influences the values of the non-dimensional natural frequency. Specifically, the FG-X distribution yields the highest natural frequency, followed by the UD and FG-A distributions, while the FG-O distribution exhibits the lowest values. Based on these observations and to ensure consistency with previous studies in the literature, we adopt N=10 sample points and Ne=1 element for the remainder of the research.
. Comparison studies
To verify the coherence and precision of the current findings from the novel resolution procedure based DQ-FEM for different boundary conditions, the non-dimensional natural frequency of an FG beam is checked with those given by Şimşek et al.[38] beam model in Table 3, for numerous L/h proportion, and k=0.3 is used as the power law exponent. The properties that follow related to the ceramic (Alumina) and metal (Aluminum) used to make the FG beam:
Alumina: Ec = 380 Gpa, ρc = 3800 kg/m3, vm = 0.23
Alumina: Ec = 70 Gpa, ρm2700kgm3, vm = 0.23
The following formula is used to represent the non-dimensional vibration frequency for validation purposes.
Table 3 shows that for different L/h ratios (10, 30, and 100) and numerous end supports, the present results are in good agreement with the reference solutions reported by Şimşek [37].
Tab. 3.
Comparative examination of the natural frequencies of various boundary conditions with varying L/h ratios
| BC | L/h=10 | L/h=30 | L/h=100 | |
|---|---|---|---|---|
| S-S | Şimşek [37] | 2.695 | 2.737 | 2.742 |
| Present | 2.739 | 2.775 | 2.779 | |
| C-F | Şimşek [37] | 0.969 | 0.976 | 0.977 |
| Present | 0.976 | 0.982 | 0.983 | |
| C-C | Şimşek [37] | 5.811 | 6.167 | 6.212 |
| Present | 5.947 | 6.242 | 6.279 |
For the second comparison, Table 4 presents the non-dimensional frequencies of FG multilayer graphene platelet-reinforced composite beams with different GPL distribution patterns, considering a weight fraction of 0.3% and an aspect ratio of L/h=10, under clamped-clamped (C-C) boundary conditions. The material properties are taken as follows: Em = 3 Gpa, ρm = 1200kg/m3, vm = 0.3 and αm = 60 × 10–6K–1 for the polymer matrix and EGPL = 1010 Gpa, ρGPL = 1062.5 kg/m3, vGPL = 0.186 and αGPL = 5 × 10–6K–1 for Graphene Platelets. The results show that, across all GPL distribution patterns, the present model is in close agreement with the reference solution.
Tab. 4.
Comparative of non-dimensional frequency with Wu et al. 7 for various GPL distributions at ∆T = 0 K, L/H = 10, and WGPL=0.3%
| Pure epoxy | UD | FG-X | FG-O | FG-A | |
|---|---|---|---|---|---|
| Wu et al.[6] | 0.5998 | 0.8475 | 0.9293 | 0.7508 | 0.8164 |
| Present | 0.5977 | 0.8445 | 0.9300 | 0.7401 | 0.8158 |
Additionally, Table 5 reports a validation of the present DQ-FEM formulation under thermal effects by comparing the fundamental frequency of a C–C FG-X beam (L/H=10, WGPL = 0.3%) with the reference data provided by Wu et al. [6] for (∆T=0,50, and 100K). The close agreement confirms the accuracy and reliability of the proposed method.
Tab. 5.
Comparative of the non-dimensional fundamental frequency ω1 for Ps/Pcr=0 between the present results and those of Wu et al. under different temperature conditions
| ∆T | Present | Wu et al.[6] |
|---|---|---|
| 0 K | 0.9666 | 0.9289 |
| 50 K | 0.9275 | 0.8883 |
| 100 K | 0.8865 | 0.8501 |
The non-dimensional frequency can be represented by the following formula:
. Parametric examination
Figure 4 displays the non-dimensional frequency for S-S (simply supported-simply supported) GPLRC beam with varying numbers of layers, WGPL = 0.5% and L/h=5. It is observed that for UD and FG-A distributions, the frequency remains nearly unchanged as the number of layers increases, whereas it increases for FG-X and decreases for FG-O. Moreover, the results stabilize when the number of layers reaches NL=15. Consequently, NL=20 will be used to acquire all research findings, ensuring maximum accuracy. Among the four distribution patterns, the beam with UD pattern is the least affected by variations in NL.
Fig. 4.
The no-dimensional frequency in relation to the quantity of layers (NL) with respect to various forms

The linear vibration frequency result of simply support- simply support FG piezoelectric reinforced beam considering various GPLs weight fraction, different patterns and a wide range of length-to-depth ratios (L/h) is showed in Table 6. We can clearly see from the obtained outcomes, that the weight fraction and length to thickness ratio have significant impacts on frequency parameter. The behavior by vibration frequency increases as the weight fraction increases. Conversely, As the L/h ratio grows, the natural frequency decreases. The beam with FG-X reinforcement offers the extreme natural frequency, tracked by UD, FG-A, and FG-O types reinforcements. This is because, compared to other distributions, the composite beam with the FG-X pattern exhibits significantly higher rigidity.
Tab. 6.
Dynamic results of FG-GPLRC piezoelectric beam diverse types of distribution and different values of the length-to-thikness pro-portion L/h
Table 7 exhibits the temperature change impacts with weight fraction on the first natural frequency of piezoelectric GPLRC beam for various distributions (“FG-X, UD, FG-O, and FG-A”). The outcomes indicate that an increase in temperature changes ∆T (0, 100, and 200) resulted in a decrease in non-dimensionless frequencies. As well as, the non-dimensionless frequencies decrease for all distributions when “the length of the beam to thickness (L/h)” ratio increases, indicating that these characteristics may have a considerable influence on the frequency. Additionally, similar to other former results, FG-X provides the highest frequency, while FG-O gives the lowest. UD and FG-A rank just after FG-X pattern respectively for all L/h values.
Tab. 7.
Dynamic Change in the non-dimensional frequency of the S-S beams for different temperatures changes, different patterns and various values for weight fraction
Figure 5 shows that the natural frequency decreases as L/H increases, with the FG-X distribution giving the highest values. Under a thermal load (∆T=100K), the frequencies drop further because thermal stresses reduce the beam's stiffness. When L/H>10, the trend becomes irregular. This happens because slender beams have very low flexural rigidity, and thermal compressive stresses weaken them even more. As a result, the beam becomes highly sensitive to small disturbances, which explains the instability observed in the frequency response.
Fig. 5.
The no-dimensional The impact of the beam's span-to-thickness portion on the natural frequency of GPLRC beams (a) ∆T = 0K and (b) ∆T = 100K

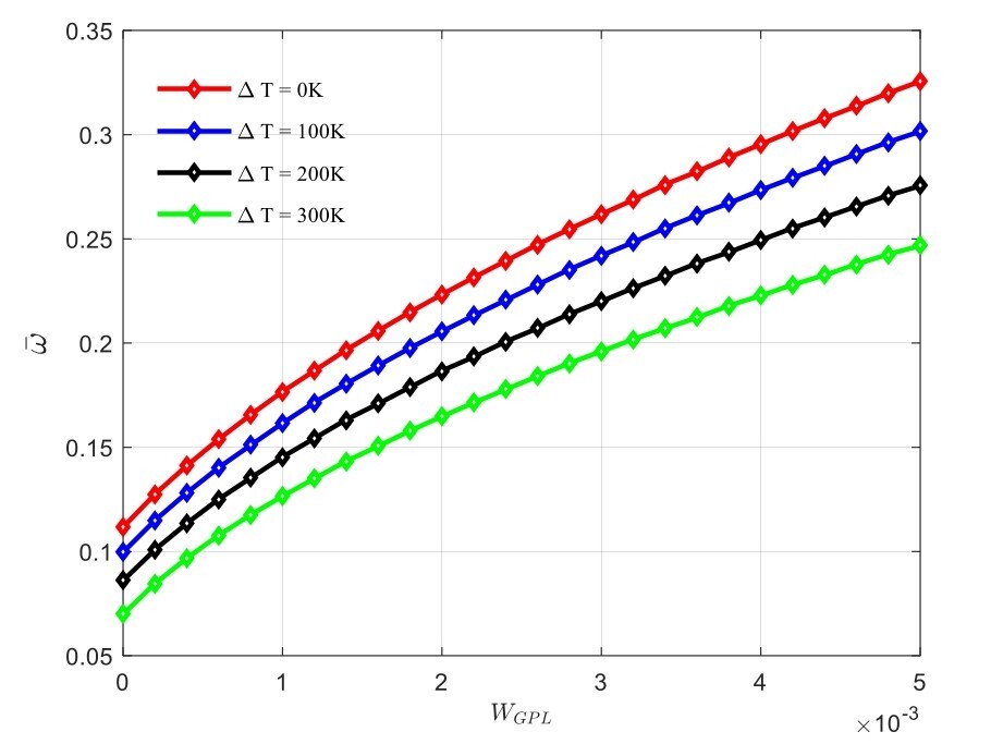
Figure 6 illustrates the impact of the weight fraction and dispersion forms of GPL on the non-dimensional frequency of FG graphene composite beams. It is observed that the frequency increases even with a little dose of GPL, and that this enhancement increases with more GPL weight fractions. In addition, compared with the “UD, FG-O and FG-A GPLRC beams, the FG-X GPLRC beam” can vibrate in higher values of frequency.
Fig. 6.
The impact of the L/h portion on the no dimensionless natural frequency related to GPLRC beams (a) ∆T = 0K and (b) ∆T = 100K

Figure 7 illustrates the effect of GPLs geometric and dimension on the ultimate vibratory frequency parameter of GPLRC beam with FG-X. A greater ratio of aGPL/bGPL denotes a bigger GPL surface area; whereas a greater number of bGPL/tGPL indicate that, every single GPL has a reduced number of graphene layers. This figure's outcomes shows that an increase in aGPL/bGPL and bGPL/tGPL causes the non-dimensionless frequency to rise for all numerical values of ∆T. aGPL/bGPL and bGPL/tGPL effects become considerably less noticeable when bGPL/tGPL is greater than 103 and the frequency seems to stabilize. In addition, Figures 5, 6 and 7 make it clear that as the temperature disparity (∆T) expand, the value of vibratory frequency reduce, indicating a drop in the global stiffness of the structure.
Fig. 7.
The impact of GPL dimensions and geometry on the vibratory frequency of FG-X type GPRLC beam (a) ∆T = 0K and (b) ∆T = 100

For a multi-layer “FG-X GPLRC” beam, considering L/h=5, WGPL = 0.5 and simply supported boundary conditions on both sides, Figure 8 shows the effect of the weight fraction and temperature change on the non-dimensionless frequency. Due to the high thermal conductivity of graphene, the results indicate a decrease in frequency as the temperature difference increases. This effect becomes more pronounced at higher GPL weight fractions.
Fig. 8.
The impact of the weight portion and temperature increase on the no dimensional vibration frequency of GPLRC beams

The variations in the non-dimensional vibratory frequency of FG-X pattern taking into consideration diverse values of the voltage V0 applied from an external source against the weight fraction WGPL, and considering numerous values of piezoelectric factor e0 in the corresponding figures a (e0 = 100), b (e0 = 300), c (e0 = 600) and d (e0 = 1000) are illustrated in Figure 9. As noted, that the beam stiffness decreases as the external electric voltage V0 increases leading to a decrement in the natural frequency. It is apparent, from all the figures that the impact of V0 on natural frequency becomes more significant as the weight fraction and the piezoelectric multiple increases, due to the high electrical conductivity of the graphene platelets.
Fig. 9.
The influence of the external electric voltage and piezoelectric component on the vibration frequency of FG-GPLRC beams

In Figure 10, a three dimensional bar chart depicting the change in the value of natural frequency related to a simply supported simply supported reinforced GPL beams is shown. This representation considers different values of external electric voltage and temperature difference, with an FG-X dispersion pattern. It is observed that the frequency steadily decreases as the temperature difference diminishes and electric voltage parameters increase, this is in line with the well-established idea that higher values of these parameters weaken structural rigidity.
Fig. 10.
Natural Frequencies as Three-Dimensional Bar Chart Under different values of External Electric Voltages and Temperature Differences values

The influence of diverse end supports on the non-dimensional frequency for an FG-X pattern with L/h=5 and different weight fraction values are displayed in Figure 11. As can be observed, the clamped-clamped boundary condition yields the highest vibration frequency, followed by the clamped-simply supported and simply supported-simply supported configurations. In contrast, the clamped-free boundary condition results in the lowest natural frequency values.
Table 8 exhibits the numerical values for the free variation in the non-dimensional frequency of reinforced nanocomposite beams by layered GPLs in FG-X repartition with WGPL=0.5% for various L/h values and boundary conditions. As expected, a considerably higher natural frequency is seen for the C-C beam type support for all L/h ratio values followed by C-S, S-S and finally C-F nanocomposite beam. In addition, as seen an increment the slenderness ratios lead to the reduction in the ultimate results by the vibratory response of the nanocomposite beam as a result of the decrease in the pliability of the composite structure.
CONCLUSION
In This Work. The study investigates the free vibration characteristics of multilayered piezoelectric beams reinforced with functionally graded graphene platelets (FG-GPLRC). The beams are subjected to an external electric voltage and uniform temperature variation, considering various boundary conditions. The effective Young’s moduli have been derived for the beam under the Halpin-Tsai model. The Poisson’s ration, "mass density", thermal expansion coefficient, and piezoelectric characteristics were derived under four different FG-GPL distribution types of the ruling mixture. The displacement components were represented using an improved shear and stretched deformation beam approach. (Q3DBT) concerning the effect of stretching thickness. Moreover, the equations of motion were obtained by Lagrange's principle. In addition, these formulations were verified through comparative analysis with results from other previous publications. According to the results of this investigation, some crucial conclusions can be drawn as follows:
- The employed DQFEM based numerical tool has a fast convergence, compact computation execution time machine, and robust numerical stability, where it converges for one element and a number of sampling points equal to 6.
- When comparing the current DQFEM to the traditional finite element approach and analytical solutions, and the computation times are notably faster.
- For all possible forms of FG-GPL distribution, it was determined that when we increase in “the external electric voltage, the piezoelectric” factor and the applied temperature results in a reduction in structural stiffness. The impacts of external electric voltage and temperature difference on natural frequency becomes more significant as the weight fraction and the piezoelectric multiple increases, Because of the graphene platelets' excellent thermal and electrical conductivity.
- The type of distribution of the GPL has a substantial influence on the GPL weight fraction and geometry. Furthermore, “when the GPL width-to-thickness ratio is higher than”101, the influence of GPL geometry tends to be significantly less evident.
- The nanocomposite beam, while reinforced with FG-X, exhibits an extremely high vibration frequency, compared with the “UD, FG-O and FG-A GPLRC beams”.
- For each GPLs shape, when the functionally graded graphene platelets used as reinforcing components, significantly increases the stiffness and strength of composite beams.










