INTRODUCTION
In recent days, geologists have shown their greatest interest in anisotropic media, which comes under geophysics and various branches of engineering such as earthquake and petroleum engineering and soil dynamics. Watanabe [1] discussed the deposition of typical naturally occurring soils, such as flocculated clays, varied silts, or sands, in a process called sedimentation that occurs for a long period of time. The overburden may cause the soil medium to exhibit anisotroipic and heterogeneous deformability. Sometimes, due to a different source, i.e., an explosion or other related phenomena, the energy that propagates inside or on the Earth's surface is known as elastic waves. These waves propagate in different directions from the focus point (which is also known as the epicentre), through the body or interior of the surface, known as body waves, and on the surface, called surface waves. The magnitude of the waves can be recorded with the help of an instrument called a seismograph, which is basically kept near the epicenter. The frequency of body waves is higher in comparison to surface waves.
The seismic waves are basically divided into two categories, i.e., primary waves (P-waves) and secondary waves S-waves). Primary waves move faster among the seismic waves, which are also called compressional waves since the waves are perpendicular to the surface. However, the S-waves are called shear waves, where the seismic energy transverses to medium. The body's waves are sometimes called quasi-waves due to their polarization nature, in which waves are not exactly normal or parallel to the plane (energy propagation). Gibson [2] continues the study on the above quasiwaves to calculate the impact of the depth, orthotropy, and inhomogeneity, which lie on a surface of thickness 110 ft, upon a rigid base. t the same moment, Levin [3] discovered P-wave, SV-wave, and SH-wave velocities with the help of a cross-anisotropic medium.
Gazetas [4] explored the influence of transversely isotropic half-space on the surface of the medium. In the year 2019, Vish-wakarma et al. [5] considered a fiber-reinforced viscoelastic medium and discussed the result of a shear horizontal wave under initial stress. The reference for this current work can be given to Singh et al. [6], Chaudhary et al. [7], Saha et al. [8], and Kaur et al. [9] for their advanced work towards seismic shear horizontal wave propagation. The reflection problems for the P-wave and SV-wave in a monoclinic medium at the free boundary were studied by Chattopadhyay et al. [10]. They also discussed that the incidence of the wave has a greater impact on the reflection coefficients. Wang et al. [11] and Zhang [12] have discussed the quasi SV, SH, and on P waves in a transversely isotropic medium. Reference can be given to Lu et al. ([13], [14]) for calculating traveltimes for quasi waves in transversely isotropic medium using fast sweeping method, which may be considered as an application to this current research.
Bullen [15] provided a comprehensive mathematical justification, supplemented by a heuristic proof and its subsequent validation. He further proposed an approximation for the Earth's internal density distribution, demonstrating that between depths of 413 km and 984 km, the density follows a quadratic variation with respect to depth. Beyond 984 km, extending towards the Earth's central core, Bullen approximated the density variation as a linear function of depth. He emphasized that it is reasonable to explore the behavior of wave profiles in geo-media exhibiting inhomogeneity represented as mathematical functions of depth. Numerous researchers have investigated such inhomogeneities, often modelling them as linear, quadratic, or exponential functions of the depth parameter. A limited number of studies also address quasi-wave propagation through heterogeneous substrata. In the following table, different inhomogeneity mathematical functions have been discussed. Different authors has been discussed about the quasi-wave velocities by considering various mathematical functions in terms of linear, quadratic, exponential and power law model in Young's moduli, shear modulus, and density. The following table-I has been created to give the idea of inhomogenity parameters used in varrious published works in reputed journals.
Tab. 1.
Inhomogeneity table
Numerous researchers have made significant contributions to addressing the issues related to body waves in cross-anisotropic soils. However, no prior work has explored the scenario where the cross-anisotropic material exhibits inhomogeneity in Young's moduli, shear modulus, and density, characterized by the following exponential function i.e. the variation has been taken in the physical quantities like Young's and shear modulus and density of the surface is encosz, where n, z ∈ R of depth z. Generalized Hooke’s law of elasticity and strain-displacement relationships along with equilibrium equations of motion have been used, which further reduces to eigenvalue problem whose spectral values reflect the wave velocities. A general analytical model for the velocities of P-wave, SH-wave and SV-wave in cross-anisotropic material has been proposed. Graphical illustrations have been presented to study the influence of each inhomogeneity parameter on wave velocity against the phase angle of wave. The study may be helpful for researchers or seismologists in the field of reflection and refraction problems in body waves, which will enrich the concept of the structure of the earth's interior. Recently, a number of researchers have conducted significant studies on reflection and refraction problems in elastic media. Among them, the contributions of Sahu et al. [16], Kumar and Paswan [17], Kumar et al. [18], and Paswan and Kumar [19] are noteworthy. These studies have explored the behavior of seismic waves at material interfaces under varying geological and anisotropic conditions.
GEOMETRY AND SOLUTIONS
The current article studies the seismic quasi-waves in the cross-anisotropic material, with detailed calculations for the quasi-wave velocities. The problem has been discussed with the help of the coordinate system (x, y, z), where x in the horizontal direction and z in the downward direction (positive direction), shown in Fig. 1. The stress-strain relationship is as follows:
1
The elastic constants may be represented as, ẼL, ẼN, ṽL, ṽN, and
Assuming the inhomogeneity in the elastic parameters as
Where, n: inhomogeneity coefficient having no dimension. From above conditions, we have
whereBiot’s equation of motion as follows (Biot [20])
DERIVATION OF PHASE VELOCITY
The following equations has been derived by substituting the stress-strain, strain-displacement relationships and the inhomogeneities in the Biot’s equation of motion.
7
8
9
The solutions for equations (7)-(9) can be considered as (Hu [21])
Where t=time. On putting the equations (10) - (12) in equations (7) - (9), we find
The above equations (13)-(15) can be written as follows
whereIt gives rise to an eigenvalue problem for an in homogeneous cross-anisotropic medium and the solution of which gives the magnitude of velocities of three quasi-waves as (VSV, VSH, VP) for an inhomogeneous cross-anisotropic medium
whereEquation (16) is the required velocities i.e SV, SH and P-waves.
PARTICULAR CASE
When n → 0, equation (16) reduces to
whereOn reducing the inhomogeneity constants of eqn. (16) to zero, i.e., n → 0, this model will reduce to the model designed by Daley and Hron [21] and Levin [22]), and the results match their results, which is given in eqn. (17).
NUMERICAL AND GRAPHICAL REPRESENTATION
In this section, the results of the inhomogeneity parameter and the rigidity
The current investigation deals with two sets of graphs, i.e., Fig. 2 and Fig. 3. In Fig. 2, the study has been done for all three quasiwaves, i.e., VSV-waves, VSH-waves, and VP-waves. The main intention is to find the influence of the inhomogeneity parameter n (which varies as (n =-0.2, 0.0, 0.2) on the phase velocity of the (VSV, VSH, VP) waves. Let us consider the first figure of Fig. 2, i.e., the VSV-wave, in which it can be observed that the velocity decreases from 0 degrees to nearly 60-degree and then suddenly goes up and meets at the phase velocity 1.0. In the figure, it is clearly visible that the depth parameter has a significant effect on the phase velocity; the influence in the case of z = 1 m quite greater than that of z = 3 m. Again, on considering the VSH-wave, it has been found that on increasing the phase angle, the phase velocity seems constant up to 76-degree and then suddenly jerks up and down and meets at 1.0. Here, we can also say that the influence of the inhomogeneity parameter decreases with increasing depth. Finally, the last figure in Fig. 2 has been plotted for the VP-wave for both the depth parameters z = 1 m and z = 3 m. The study shows the increasing nature of the phase velocity for the increasing inhomogeneity parameters. The effects are visible to the naked eye, and for all three velocities, one can conclude that by increasing the inhomogeneity parameter n, the phase velocity decreases at a particular phase angle.
Fig. 2.
Dimensionless phase velocity Vs. phase angle and to find impact of the inhomogeneity parameter n on the velocity of SV, SH, and P waves

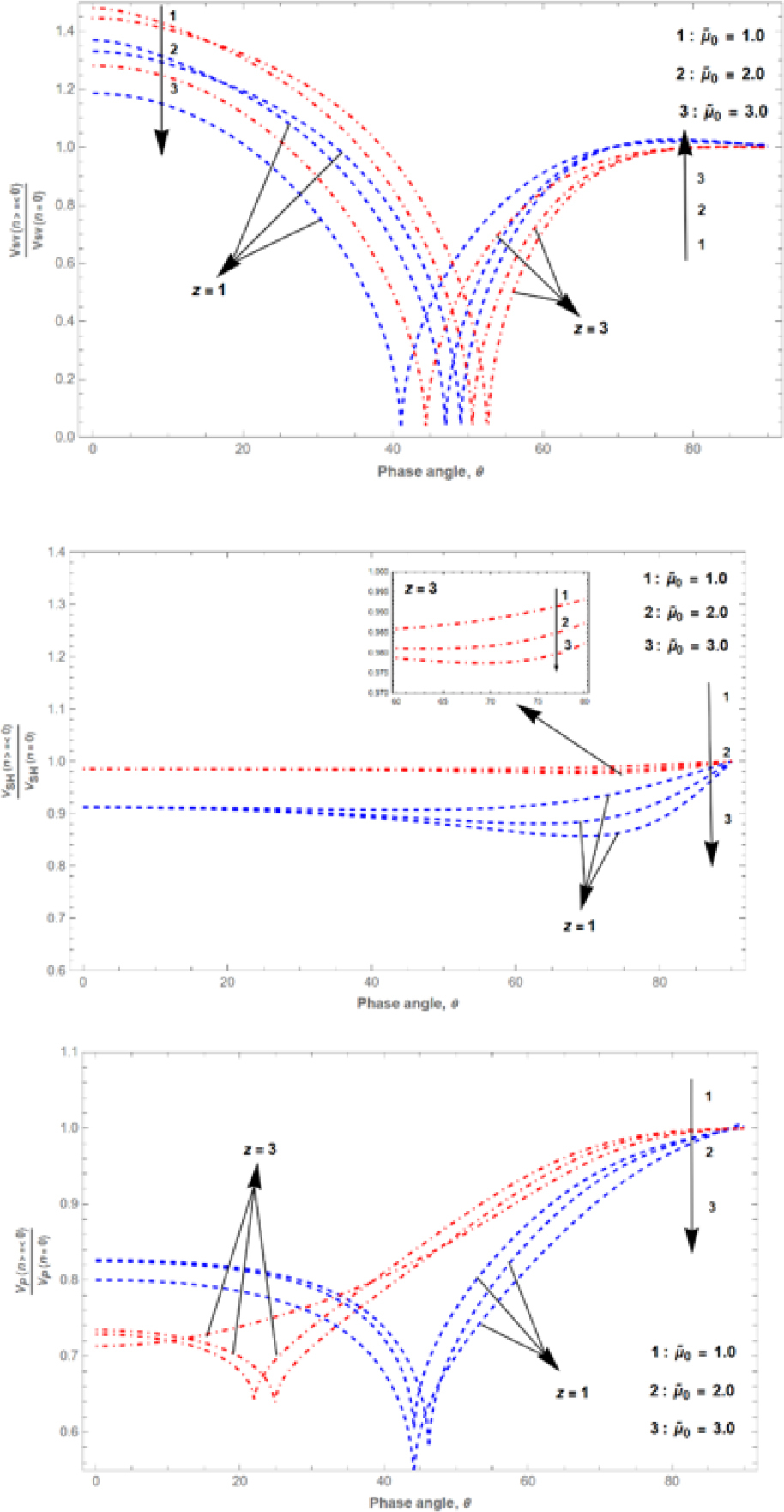
Fig. 3.
Dimensionless phase velocity Vs. phase angle and to find impact of the inhomogeneity parameter

Figure 3 shows the effect of the rigidity
CONCLUSION
The current research work is helpful in finding a way to study the propagation behavior of body waves. The solution is carried out through a general analytical method for the three different waves, i.e., SV-wave, SH-wave, and P-wave, in a heterogeneous cross-anisotropic medium. The phase velocities of the three waves (SV, SH, and P) are obtained in closed form, as is the inhomogeneity, which is an exponential function with respect to the depth parameter z. The present study has been done for the depth of the Earth surface for z = 1 m and z = 3 m. The following are the results of this current work:
Two figures i.e., Fig. 2, and Fig. 3 have been plotted to show the impacts of the inhomogeneity parameters n and
In Fig. 3, which has been plotted for the parameter
