INTRODUCTION
The design of the running gear of agricultural trailers with rigid (unbalanced) drawbar depends on their load capacity. Semi-mounted trailers with laden weight of up to 13 tonnes have a single axle, up to 19 tonnes tandem axles and up to 22.5 tonnes triaxle [1]. A multiple-axle unit consists of axles spaced closely together, usually between 1.2 m and 1.85 m [2, 3]. Tandem and triple axles are used to increase the vehicle's load capacity and load distribution between the axles, regardless of road surface irregularities [4]. Generally, two basic tandem suspension arrangements have been developed: a central pivoting single vertical semi-elliptic or parabolic spring which has an axle clamped to it at either end and a pivoting reactive or non-reactive balance beam which interconnects adjacent first and second semi-elliptic springs via their shackle plates [5,6,7].
During a brake application, all the vehicles of a combination tractor-trailer should be braked with similar intensity to enable efficient deceleration without the risk of the combination losing its directional stability. From 2016, EU legislation on agricultural vehicles [8] has required agricultural trailers travelling at speeds above 30 km/h to comply with the same braking efficiency of 50% as commercial trailers [9]. Furthermore, agricultural balanced trailers with a total mass exceeding 3500 kg (categories R3 and R4) require a specific brake force distribution among the axles. As in the case of commercial vehicles [9], the individual parts of the combination are treated as individual vehicles, so that the coupling interactions between them are not taken into account. No recommendations are made in this respect for semitrailers. To share the brake force distribution between a tractor and a towed vehicle, permissible compatibility corridors for the braking rate of the tractor and the towed vehicle refer to the pressure values of the control line between these vehicles that have been introduced. The compliance with compatibility requirements, as well as requirements regarding high-speed operation (response time of less than 0.6 s [8]), contribute to the shortening of stopping distance of tractor-trailer combinations and the reduction of forces in the coupling during emergency braking [10]. The implementation of the new European legislation in the field of agricultural vehicles places high demands on the manufacturers of agricultural trailers, tractors and machines concerning braking systems [11].
Most of the works on agricultural trailer braking deal with various aspects of the braking process of tractor-trailer combinations, mainly with two-axle trailers [12,13,14]. Papers [15, 16], describe the braking mechanics of a tractor with a single-axle trailer while moving up and down a slope under various operating conditions. The dynamic behaviour during braking of tractor-semitrailer combinations in terms of stability and road safety has been analysed in [17] and [18]. Paper [19], on the other hand, describes the braking of a semitrailer endowed with an inertial braking system, working in aggregate with the tractor. Both the theoretical and practical aspects of the braking performance of tractor-semitrailer combinations were examined in [20] and [21]. To simplify the theoretical considerations in [20], the tandem bogie suspension was replaced by a single axle and the forces from the wheels were applied to the bogie joint with-out considering the interaction between the tandem axles. From the designer's (manufacturer's) point of view, any analysis of the braking mechanics of a tractor-trailer combination seems to be of little use for the design of semi-trailer braking systems, as it requires specific assumptions to be made about the geometric and mass parameters of a farm tractor. Moreover, these considerations usually apply to single-axle semi-trailers but not to semi-trailers with tandem suspension. And as is well known [3, 4, 22], when a braking force is applied on a tandem axle, there is often a load transfer among the axles, and the lighter loaded axle tends to lock up before the other. This phenomenon, which is dependent on the tandem suspension type used, harms braking performance and directional stability. If the lock-up occurs on the trailing axle, it can lead to a complete loss of directional stability [3]. Therefore, in this study, the influence of inter-axle load transfer in semitrailers with different tandem suspensions has been considered in the development of the brake force distribution methodology for use by designers and manufacturers of agricultural machinery, thus filling a gap in the literature.
The design process of a new brake system starts with the selection of the distribution of brake forces [23]. The axle load transfer and braking force distribution play an important role in the safety and dynamic stability of road vehicles [24, 25]. In general, for the correct design of a vehicle braking system, it is essential to know the ideal brake force distribution between the axles for laden and unladen vehicles [26]. With the braking distribution at the ideal level, the braking performance is maximized, and the brake stability is then also guaranteed [27]. The optimum braking condition is achieved when each axle has the same utilised adhesion, i.e. the ratio between the braking force on each axle and its vertical load is the same [28, 29]. Under such conditions, the ratio of the longitudinal force and vertical force on the coupling device is also the same [30].
This latter condition became an inspiration to use the brake force distribution strategy for two-axle trailers, according to the EU regulations [8], to determine the braking force distribution in semi-trailers between the axle unit (single or tandem) and the coupling device that attaches the towed vehicle to the farm tractor. With this approach, a semi-trailer can be considered as if it were an individual braked vehicle with braking forces at the axle wheels and the coupling device.
To calculate the brake distribution of a single-axle semi-trailer, the analytical method can be used as for two-axle trailers [31, 32]. However, for tandem semitrailers, the analysis is more complicated because the leading and trailing axle loads are functions of the trailer load and the type and geometry of the tandem axle unit [4]. Therefore, even for vehicles with the simplest of tandem suspensions, such as a walking beam and bogie [31, 33] or a double elliptic leaf spring suspension [34], optimisation methods are used to calculate and select the brake force distribution. To find an optimal linear force distribution, which is mostly used in trailer air brake systems due to the linear characteristics of the brake force regulators, the quasi-Monte Carlo method was used in this paper.
The remainder of the paper is structured as follows: in section 2, the equations of forces acting during braking on a tractor single-axle semi-trailer and a tractor tandem-axle semi-trailer combination are developed to find the condition of ideal braking force distribution; in section 3, the analysis of the forces acting during braking on a semi-trailer with different types of tandem suspension is presented; in section 4, the UE regulations for the brake force distribution adapted to semi-trailers are described; in section 5, the quasi Monte Carlo method and the algorithm of linear brake force distribution are described. The results of optimising the different tandem axles are analysed and discussed in section 6. Finally, a summary and conclusions are drawn in Section 7.
The findings of the work are expected to provide a reference for the design and evaluation of the air braking system of agricultural semi-trailers, especially with different types of tandem axles, to improve braking performance and reduce coupling forces.
IDEAL BRAKING OF TRACTOR AND SEMI-TRAILER
Tractor-semitrailer combination is modelled as two rigid body hinges to each other, and suspension deflection is ignored. The forces acting on a braking farm tractor with single and tandem axle semi-trailers are shown in Figures 1–3. For simplicity, it is assumed that aerodynamic and rolling drag is neglected.
Using the notation from Fig. 1, the equations of forces and moments exerted on the decelerating tractor are of the form:
where: Tf, Tr – front and rear axle braking forces, Rf, Rr – axle loads, T1, R1 – horizontal and vertical force on the coupling, Lt – inter-axle spacing, bt – distance between centre of gravity and rear axle, ht – height of the centre of gravity, Lh – distance from coupling device to the rear axle, Gt – trailer weight, z – braking rate.The equilibrium equations of forces and moments exerted on the single-axle semi-trailer shown in Fig. 2 are as follows:
where: T2 – axle brake force, R21 – axle load, L1 – distance between coupling device and semi-trailer's axle, a – distance from the coupling to the centre of gravity, h – height of the centre of gravity, G – trailer weight.From the equations (2) and (5) of vertical forces (after elimination of the reaction R1) and the equation of moments for the tractor (3) and the trailer (6) concerning the coupling, the vertical reactions are obtained:
In the case of ideal braking of a tractor with a single-axle semi-trailer, the adhesion utilisation of each axle is the same and equal to the braking rate of the combination, i.e. ff=fr=f21=z. Hence Tf+Tr=z(Rf+Rr) and T21=z∙R21. Then the ground reactions to the axle wheels are as follows:
So that during ideal braking, the ratio of the tangential force to the vertical force acting on the coupling:
is the same as the braking rate of the vehicle combination.The system of equilibrium equations for a braked single-axle semi-trailer with walking beam tandem suspension (Fig. 3) is given as:
where: L2 – tandem axle spread.From the equations (2), (17) of vertical forces (after elimination of the reaction R1) and the equation of moments for the tractor (3) and the trailer (18) with respect to the coupling and the relationship between the reactions in the tandem suspension:
vertical reactions are obtained: where: d1 and d2 – beam length, hs – height of support position, L2 = d1 + d2 and L = L1 + d1.During ideal braking of the combination of tractor-semitrailer with tandem suspension, the adhesion utilisation of each axle is the same and equal to the braking rate: ff = fr = f21 = f22 = z, which means Tf + Tr = z(Rf + Rr) and T21 + T22 = z(R21 + R22). Then, the vertical reactions at the coupling and the wheels of the trailer are as follows:
The quotient of the tangential force to the vertical force on the coupling:
is therefore the same as the adhesion utilisation rate for each axle of the vehicle combination. Similar calculations can be carried out for other types of tandem suspensions, also considering unsprung mass, with the same results. Identical results shall be obtained for the ideal braking conditions of the tractor-trailer combination [30].Thus, the ideal braking condition is unambiguously defined and to determine the ground reaction and then the distribution of braking forces, it is not necessary to analyse the braking process of the entire combination - only the braking process of the trailer alone may be considered.
BRAKING OF SEMI-TRAILERS WITH TANDEM SUSPENSION
A rigid two-dimensional model is used to analyse the brake force distribution of tandem-axle semitrailers (Fig. 3). The braking forces T21 and T22 of tandem axle are considered to be known functions of the brake line pressure [8, 36]. This model also allows the use of tandem suspensions of a different type and geometry. The model equations (16)–(18) must be completed with an extra relationship between reactions R21 and R22, determined from the equilibrium equations for a specific type of tandem suspension.
. Walking beam and bogie suspension
The simplest form of tandem unit is a walking (rigid) beam [37] mounted pivotally to a frame hanger on either side of the vehicle (Fig. 4-a). In the bogie suspension [38], parabolic tapered springs are anchored upside down to the trailer frame in place of walking beams (Fig. 4-b).
The forces exerted on the walking beam and bogie suspension during braking are shown in Fig. 4.
The same equilibrium force and moment equations can be used to describe both tandem suspensions:
where: T2 and R2 – horizontal and vertical forces in the single-point support between the suspension and trailer frame, d1 and d2 – beam (parabolic spring) length, hs – height of position, b2 – distance of centre of unsprung weight from a support, h2 – height of centre of unsprung weight, G2 – unsprung weight.By solving the system of equations (17), (18) and (31) together, considering from equation (16) that T21 + T22 = z · G − T1, the dynamic axle loads and the vertical coupling force during braking of semi-trailer are obtained:
where: L2 = d1 + d2 is the tandem wheelbase and L = L1 + d1 is the trailer wheelbase.. Two leaf spring suspension
In tandem leaf spring suspension, the two most common spring types are the double eye leaf spring and the slipper spring. For agricultural trailers, the second type is more common [37,38,39]. The front eye of both the leading and trailing springs are hinged directly to the front hanger bracket and the levelling beam, respectively, through pin joints (Fig. 5). The rear end of the springs is captured in the equalizer beam or rear hanger.
The forces applied to the two leaf spring suspensions with two unsprung weights are illustrated in Fig. 5.
For the unsprung weight G21, the following force and moment equilibrium equations are applicable:
The equations of the balance of forces and moments for the unsprung weight of the G22 suspension are given by:
Equations (37) and (40) give the reactions at the equalizer beam ends:
After substitution of the expressions (41) and (42) into the equilibrium equation of the force moments on the equalizer beam:
a new relationship is obtained which, together with equations (17) and (18), forms a system of 3 equations which makes it possible to determine the dynamic axle loads and the vertical coupling force during braking of the semi-trailer: where: MN = c2d2L1 + c1d1(L1 + L2).. Two leaf–two rod suspension
Another version of the tandem axle configuration uses only two springs with slipper ends. Vertical forces are transmitted to the trailer frame via the front and rear hanger brackets and equalizer beam (according to the BPW equalising beam) [37,38,39].
Longitudinal forces are transferred by connecting the radius rods between the axles and the front and middle hanger brackets (Fig. 6). The parameters α1 and α2, as well as hr1 and hr2, have a significant effect on the operation of the suspension. This design uses a reduced radius rod angle α2 and a reduced pivot height hr2 on the rear axle to decrease inter-axle load transfer during braking [22].
The force and moment equations for unsprung weights G21 and G22 are as follows:
From equations (49) and (52), the reactions acting on the ends of the equalizer beam are given:
which are interrelated by the equation of force moments:Solving equations (17), (18) and (53) – (54) together, the semi-trailer axle loads, and the coupling force are obtained:
(56)
(57)
Equations (56) – (58) become much simpler when α1 = α2 = 0, since then ED = 0.
. Two leaf spring with equalization
A tandem double leaf spring suspension with equalization [4] has a pair of slipper springs and a mechanical equalisation of the braking load (Fig. 7). The rear end of the front spring is connected to the rear end of the rear spring by a rocker arm which is hinged to a central hanger bracket. This rocker distributes static (and shock) loads evenly between the two axles. An alternative design solution for a non-reactive tandem suspension with a bell crank and a tie-rod linkage is described in [5]. The forces acting on the two leaf spring suspensions with equalisation are presented in Fig. 7.
The force and moment equations for the unsprung weights G21 and G22 of the suspension are given by:
Equations (61) and (64) are used to compute the reactions at the ends of the beam:
related by the equation of moments:By solving the system of equations (17), (18), (65) ‒ (67), the vertical coupling force and the dynamic axle loads are obtained during deceleration of the semi-trailer:
where: L2 = d1 + d2 and L = L1 + d1.. Air suspension
With air suspension, the air springs are mounted to the trailing arms via a crossmember and attached to the frame at the top (Fig. 8). The trailing arms are hinged to the hanger brackets and axle housings. All the air bags are connected by air lines to balance the axle loads. Vertical forces are distributed between the hanger brackets and the airbags. Longitudinal forces from braking are transferred to the trailer frame through the hanger brackets.
The balance equations for the forces and moments applied to the suspension with unsprung weights G21 and G22 are calculated as follows:
On the assumption that the pressure in the airbags is the same, the vertical reactions transmitted by the air springs will be the same as well: R3=R5. Then from equations (73) and (76), where G21=G22, the relationship between the loads of the tandem axles is obtained:
The solution of the system of equations (17), (18) and (77) is the vertical coupling force and the trailer axle loads:
where: L = L1 + L2/2.BRAKING OF SEMI-TRAILERS WITH TANDEM SUSPENSION
As proved in section 2, the ideal braking condition for semi-trailers is achieved when the rate of utilized adhesion of each axle and the quotient of the horizontal to vertical force at the coupling is equal to the braking rate z of the combination. For semi-trailers with a single or tandem axle, this condition can be expressed as follows:
where T1, R1 ‒ braking force and normal reaction on the coupling device, T2i, R2i ‒ braking forces and normal loads on tandem axle, i – axle number in the tandem unit.The adhesion utilization rates used by the front coupling and the rear axle assembly are calculated based on the relationship:
With ideal braking, stopping distance is minimised and braking efficiency requirements are met with reserve (z≥50% at 6.5 bar pressure) as each axle reaches its maximum braking force capability [40].
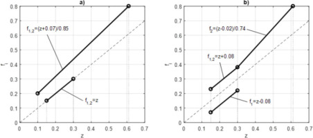
Due to varying trailer loads, it is virtually impossible to ensure ideal brake distribution, even with the application of brake force regulators. Therefore, for agricultural trailers travelling at speeds above 40 km/h, acceptable limits have been set for the deviation of the adhesion utilisation rates of individual axles from the optimal distribution. When considering brake force distribution, each part of the combination is deemed to be a single vehicle without considering the force at the coupling. The UE regulation allows for two solutions, as shown in Fig. 9 [8].
Fig. 9.
Limits of adhesion utilization in accordance with Commission Delegated Regulation (EU) 2015/68 [8]: a – first solution, b – second solution

The first solution: the adhesion utilization rate for each axle group must satisfy the condition of ensuring the minimum required braking performance:
and the condition of prior locking of the wheels of the front axle to ensure straight-ahead stability:Second solution: the axle adhesion utilization rates should be within a certain range, then the wheel locking limits are established by the following relationships:
Furthermore, the adhesion curve for the rear axle assembly should satisfy the requirement:
For accurate calculations, the divisor in inequality (86) should be set to 0.7381.
The requirements concerning the wheel locking sequence are met if the adhesion utilized by the front axle is greater than that utilized by at least one of the rear axles at braking rates between 0.15 and 0.30 [8]:
Of course, in the case of the application of these solutions for a semi-trailer, the requirements for the front axle relate to the coupling device.
METHOD OF SELECTION OF LINEAR BRAKE FORCE DISTRIBUTION
In the air braking systems of agricultural trailers, various types of load-dependent brake force regulators are used to approximate the ideal brake force distribution. The automatic load-sensing valves (LSVs) currently fitted to heavy trailers are designed to adjust the brake pressure on the axles according to the load condition [41]. If the braking forces are designed correctly, this will prevent the wheels from locking when the vehicle is unladen or only partially laden. On mechanically suspended trailers, the regulation is proportional to the spring deflection, while on air-suspended trailers, it depends on the control pressure of the air springs. If there are technical reasons against equipping the vehicles with an LSV (especially unsuspended vehicles), agricultural trailers or machines should be equipped with a manual brake force regulator. In the most popular three-stage adjustment device (full - half - empty), the regulation of braking force is achieved by pressure limitation in axle brake chambers [41]. Due to the difficulty to comply with the requirements of EU 2015/68 for the distribution of braking forces on vehicles with manual regulators, which were mentioned before, BPW developed a seven-position mechanical load-dependent brake force regulator (MBL), but with linear characteristics [42]. The BPW MLB works with a proportional pressure control. As a result, the output pressure remains proportional to the control pressure. This kind of control fully complies with the requirements of the EU regulation for unsuspended vehicles.
As the pressure distribution characteristic of the ALB and MLB is essentially a straight line, the distribution of braking forces between the coupling device and the rear axles can also be regarded as linear (radial). The contribution of the coupling device and trailer axles to the braking of the semi-trailer is expressed by the ratio of the partial braking force on the coupling device or individual axle to the total braking force:
where: T2T ‒ total braking force of the tandem axles.The values of the braking force distribution coefficients defined in this way can theoretically vary from 0 to 1 and satisfy the following relationships:
Using the relations (88) and (89), the braking force of the coupling device and trailer axles can be calculated:
A directional coefficient of the brake distribution line, which passes through the origin of the coordinate system T2T = f(T1), is calculated as follows:
Similarly, a linear braking force distribution, variable or fixed (in the absence of a braking force regulator), can be applied to the tandem assembly:
Unlike the β coefficients, the values of the iP and iS ratios can theoretically range from zero to infinity, especially when the braking force of one axle is close to zero.
To find optimal solutions for the linear brake force distribution, the Quasi Monte Carlo method [43,44,45] was chosen. Fig. 10 shows an example block diagram of the algorithm for the optimum selection of the braking force distribution coefficients β1 and β21.
Fig. 10.
A block diagram of an algorithm for the optimization of brake forces of a semi-trailer with tandem suspension using the Monte Carlo method (OFs ‒ initial value of the objective function, Nd ‒ number of draws, Ngood – number of good solutions, meeting inequality constraints, Nbetter ‒ number of better solutions, reducing the value of the objective function)

The optimal values of the brake force distribution coefficients are determined by minimizing the objective function consisting of the residual sum of squares:
where: wi ‒ weighting factors.The OF thus obtained favourable solutions with the smallest differences between the adhesion utilised by each axle. As it is more important to reduce the difference between the values f1 and f2 than to reduce the difference between the adhesion values f21 and f22 utilised by the rear axles to fulfil the requirements (83) – (86), w1 > w2 should, therefore, be taken in the OF criterion.
Before the computation of the OF, the inequality conditions (83), (84) for the first solution and (85), (86) for the second solution are checked:
To simplify the notation of the boundary equations, they have been expressed as the product of the algebraic and logical equations. For the first solution:
For the second solution:
Then, the condition (87) for multi-axle trailer is checked:
In addition, an extra condition has been added to the rear axle adhesion utilisation rates:
which limits the unduly high increase of the coefficient f22 for z≤0.61.RESULTS OF OPTIMIZATION CALCULATIONS
Based on the algorithm described above, a computer program was written in MATLAB [46] to calculate the optimum distribution of the braking forces for semi-trailers with tandem suspension. The same algorithm, but without calculating the coefficients f21 and f22, was used to calculate the single-axle semi-trailer. The MATLAB procedure of the Hammersley sequence [47] by Burkardt [48] was used to generate the quasi-random numbers N22 and N1 (Fig. 10). The two-dimensional Hammersley point set is one of the simplest sequences with a low discrepancy that is used in both numerical and graphical applications [49]. The number of draws has been set to Nd = 40.000. The OFs (93) were calculated for the following values of the weighting factors w1=0.6, w2=0.4 in the range 0.1 ≤z≤ 0.66 with a step size of 0.01.
The technical data and calculation results of the brake force distribution for the laden and unladen single axle semi-trailer are shown in Tab. 1.
Tab. 1.
The technical data and results of the optimization of brake force distribution in single axle semi-trailer: L1=4.45 m, hh=0.7 m (L ‒ laden, U ‒ unladen, I, II – first and second solution)
| m kg] | a [m] | h [m] | OF | β1 | iP | |
|---|---|---|---|---|---|---|
| UI-UII | 2250 | 3.895 | 0.98 | 0.0947–0.0947 | 0.2079–0.2079 | 3.8097–3.8097 |
| LI - LII | 7250 | 3.840 | 1.25 | 0.1272–0.1272 | 0.2445–0.2445 | 3.0901–3.0901 |
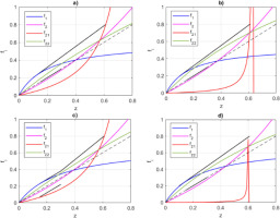
In the case of laden and unladen semi-trailers, identical results were obtained for the optimum distribution of braking forces using both solutions. The adhesion utilization curves of the braked axle and the trailer coupling are shown in Fig. 11.
Fig. 11.
Adhesion utilization curves fi(z) for an optimal distribution of brake forces in a single axle semi-trailer: a – an unladen trailer (I solution), b – a laden trailer (II solution)

The technical data of the laden and unladen semi-trailer with different tandem suspensions taken for the optimization calculations are presented in Tab. 2. To achieve comparability of the calculation results, the same mass m2=1700 kg was taken for all types of suspensions, and some geometrical parameters of suspensions obtained from literature data [37–38] were fixed. In addition, no changes were made to some of the suspension dimensions for the laden and unladen trailers. Based on the calculated results of the β1, β21, β22, iP and iS ratios presented in Tab. 3, the braking force distribution in a tandem semi-trailer depends significantly on the trailer load and the type of tandem suspension.
Tab. 2.
Tab. 3.
The results of the optimization of brake force distribution in a tandem axle semi-trailer (L ‒laden, U ‒ unladen, Lw, Uw – laden and unladen with weight of suspension)
Following the optimization criterion used (lowest OF values), the air suspension (section 3.5) and the two leaf spring suspensions with equalization (section 3.4) can be regarded as the best. The same optimum brake force distribution ratios were found for these tandem suspensions (Table 3) using the solutions described in Section 2. The values after the dash have been obtained by considering the weight of the tandem axle. Moreover, with equalised values of the β21 and β22 coefficients (the values of the iS coefficients are close to 1), the trailer with these suspensions has a uniform, close to ideal, distribution of the braking forces. Therefore, the adhesion utilization curves f21, f22 and f2 almost coincide (Fig. 12-a, c).
Fig. 12.
Adhesion utilization curves fi(z) for an optimal distribution of brake forces in a tandem semi-trailer (considering the weight of the tandem suspension): a – an unladen trailer with air suspension (I solution), c – a laden trailer with air suspension (II solution), b – an unladen trailer with bogie suspension (I solution), d – a laden trailer with bogie suspension (II solution)

Larger values of the OF were obtained for the bogie suspension (section 3.1) and even higher values for the two leaf-two rod suspension (section 3.3). In both cases, this causes a greater deviation of the adhesion utilization curves from the ideal distribution of braking forces (Fig. 12-b, d and Fig.13-a, c).
Fig. 13.
Adhesion utilization curves fi(z) for an optimal distribution of brake forces in a tandem axle semi-trailer (considering the weight of the tandem suspension): a – an unladen trailer with two leaf-two rod suspension (I solution), c – a laden trailer with two leaf-two rod suspension (II solution), b – an unladen trailer with two leaf suspension (I solution), d – a laden trailer with two leaf suspension (I solution)

For the two-leaf suspension (section 3.2), the calculation of the distribution of braking forces was only obtained from the first solution, with values of the OF objective function an order of magnitude higher (from 3.5 to 5.3) than for the other tandem suspensions. However, this solution cannot be considered correct either, as the leading tandem axle is braked to a very small extent (β21 values range from 0.003 to 0.022 - Table 3). In addition, once the z-value exceeds 0.6, the wheels of this axle start to come off the ground (the f21 values go to infinity and then fall below zero - Fig.13-b, d). Thus, fi curves for braking rates above 0.6 make no physical sense. Braking at very low vertical loads can, according to the literature [3, 4], cause wheel lock on the leading axle. It should be noted that qualitatively similar results were obtained when calculating the braking force distribution on three-axle trailers with tandem axles [33].
A comparison of the results obtained without and with the weight of the tandem shows that for most tandems, the effect of this weight on the distribution of braking forces has been negligible. The differences in the brake force distribution ratios are no more than 5%. But for suspension 3.3, the differences in the calculated values of the β21 ratio are about 18%, and for suspension 3.2, they are even up to 92%. Omitting the weight of the tandem suspension in the calculation of the braking force distribution considerably simplifies the relationships for the vertical reactions of the braked axles and, above all, avoids the many time-consuming steps over deter-mining the mass of the tandem suspension and the position of its centre of gravity.
SUMMARY AND CONCLUSIONS
The method described for optimising the choice of linear brake force distribution for rigid drawbar agricultural trailers with single and tandem axles can be used in the initial design phase of air braking systems using the ALB or MLB regulator with radial characteristic. The calculation of the braking force distribution considered the requirements of EU Directive 2015/68 [8] for multi-axle trailers, treating the coupling device of a rigid drawbar trailer as a contractual front axle. It should be noted that although optimising the brake force distribution improves the braking performance and directional stability of agricultural vehicle combinations on different road surfaces, it does not prevent individual wheels from lockup, particularly on slippery and uneven surfaces. Therefore, agricultural vehicles travelling at speeds above 60 km/h must be equipped with ABS systems [8].
Optimization calculations using the Quasi Monte Carlo method for a rigid drawbar trailer with a payload of approximately 16 tonnes showed that the distribution of braking forces depends significantly on the type of tandem suspension. The lowest values of the minimized objective function were obtained for tandem axles with air suspension and two leaf springs suspension with equalization. For these two tandem assembly, the adhesion utilizations of the individual axles are closest to the straight line representing the ideal brake force distribution (Fig. 12-a,c), where the adhesion utilized by each tandem axle is the same and equal to the braking rate. Higher values of OF were found for the bogie suspension (Fig. 12-b, d), and even higher for the two leaf-two rod suspension (Fig. 13-a, c). In both cases, this leads to a greater deviation of the adhesion utilisation curves from the ideal distribution of the braking forces. The two leaf spring suspension (Figure 13-b, d) produced the highest OF values. These results are in qualitative agreement with Limpert's analysis of the braking dynamics of a vehicle combination with tandem axles [4]. In addition, calculations for the two leaf spring suspension have shown that the load transfer between the tandem axles can lead to premature locking of the leading axle wheels at a braking rate of about 0.6, which is also confirmed in the literature [3, 4]. The results of the optimisation calculations show that for most tandem suspensions, the effect of the suspension mass on the brake force distribution is negligible.







