Introduction
The delay differential equation (ordinary and partial) are often used for mathematical modeling of phenomena and processed in various areas of mechanics, biology, biophysics, theoretical physics, biochemistry, medicine, technical application, ecology and economics, many problems in engineering, physics, and science can be solved mathematically by using many types of integral transforms such as Laplace transform, Elzaki transform, Fourier transform, etc. A new integral transform derived by Watugula named Sumudu transform [1], he discussed the properties and used it for finding the solution of differential equation and control engineering problems.Fractional differential equation attracted the researchers to study the solution of linear and nonlinear fractional partial differential equation due to the fractional calculus provides an excellent tool for description many practical dynamical phenomena in engineering and scientific disciplines (physic, biology, etc.),a delay partial differential equation of linear and nonlinear solved by several integral transform and with proportional delay [2, 3, 4, 5, 6], the numerical solution is discussed for nonlinear fractional differential equation with proportional delay [7], the Frontier problems of physics by decomposition [8], the analytical solution of time-fractional Navier-Stokes equation by natural homotopy perturbation method [9], analytical approximate solution of fractional Wave equation by the optimal homotopy analysis method [10], in [11] the authors introduce a semi-analytical and numerical approach to fractional differential equation, the comparison of Sumudu and Laplace decomposition method for solving fractional Lane-Emaden type differential equation [12], in [13] further properties of Sumudu transform and its application , the transition curve analysis of linear fractional periodic time-delay systems via explicit harmonic balance method [14], an iterated pseudo-spectral method for delay partial differential equation [15], application of differential transform method on nonlinear integral differential equation with proportional delay [16], analytical solution of time-fractional partial differential equation using Multi-G-Laplace transform method [17], solving a system of nonlinear fractional partial differential equations using homotopy analysis method [18], the use of Sumudu transform for solving certain nonlinear fractional Heat-Like equations [19].
Alemu Senbeta Bekela et al. [20-22] proposed Formable transform Adomian decomposition method for solving nonlinear time-fractional diffusion equation, Numerical Method for Nonlinear Time Fractional Hyperbolic Partial Differential Equations Based on Fractional Shehu Transform and A numerical method using Laplace-like transform and variational theory for solving time-fractional nonlinear partial differential equations with proportional delay. Deresse et al. [23-26] study semi-analytical approach for solving nonlinear mathematical physics problems, Approximate Analytical Solution to Nonlinear Delay Differential Equations by Using Sumudu Iterative Method, Approximate Analytical Solution of Two-Dimensional Nonlinear Time-Fractional Damped Wave Equation in the Caputo Fractional Derivative Operator and A hybrid yang transform Adomian decomposition method for solving time-fractional nonlinear partial differential equation.
To clarify what is new compared to the methods mentioned above, The Sumudu transform is a valuable alternative to traditional integral transforms, primarily due to its ability to preserve the units and scales of the original function, which offers advantages in physical and engineering applications. The results obtained using the Sumudu transform often provide a more direct and intuitive physical interpretation compared to those from the Laplace or Fourier transforms.
The aims of this paper are to apply Sumudu decomposition method to solve fractional partial differential equation with proportional delay. This new and more efficient methodology may lead to a reduction in the time and calculations required to solve fractional partial differential equation with proportional delay.
The rest of this paper is arranged as follow, section 2, the idea of Sumudu decomposition method and the fractional equation with proportional delay provides, in section 3, three examples are provided to support our technique for solving fractional equation with proportional delay, section 4, summary of our paper.
In this section some basic definitions of fractional calculus and Sumudu transform which are useful in this study.
Definition 1 [11].
Over the set of a function,
The Sumudu transform is defined by:
Definition 2 [19].
The Sumudu transform of the Caputo fractional derivative is defined as:
Definition 3 [18].
The left side Caputo fractional derivative of f, f ∈ C (m−1), m ∈ ℕ ∪ {0}, is defined:
Definition 4 [19].
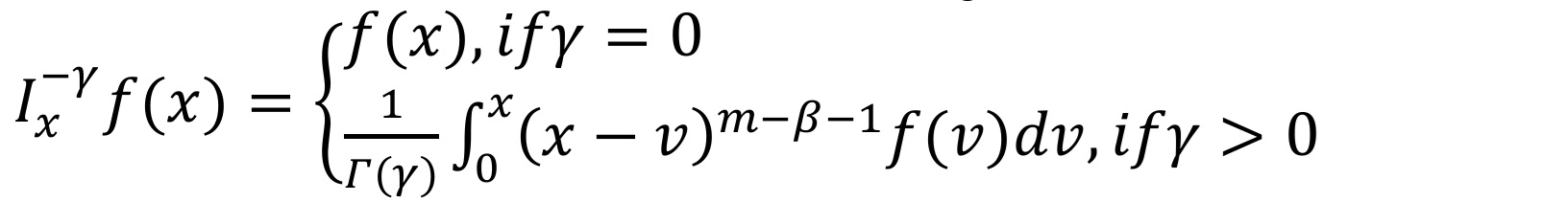
The Riemann-Liouville fractional integral,
Definition 5, (3), [18].
The Caputo fractional derivative of f ∈ C (m−1), m ∈ ℕ, is defined,
Definition 6, [12].
The Mittag-Leffler function E β(z) with α > 0 is defined by the following,
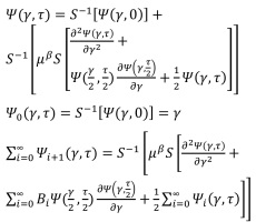
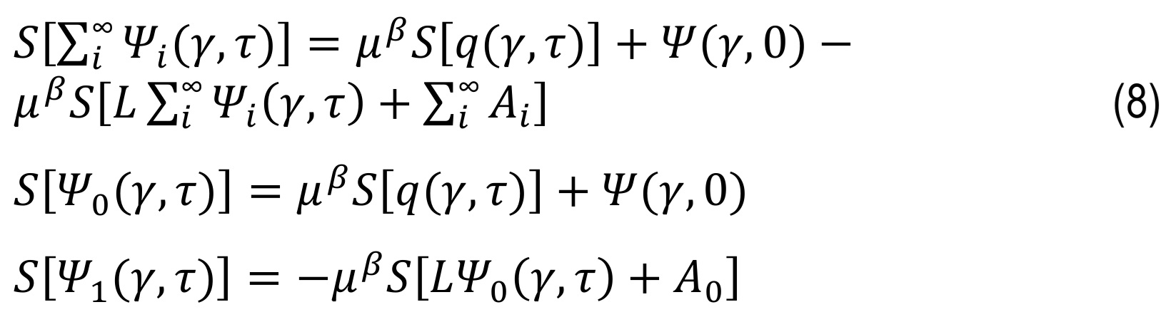
IDEA OF SUMUDU DECOMPOSITION METHOD AND FRACTIONAL PARTIAL D. EQUATION WITH PROPORTIONAL DELAY (STDM)
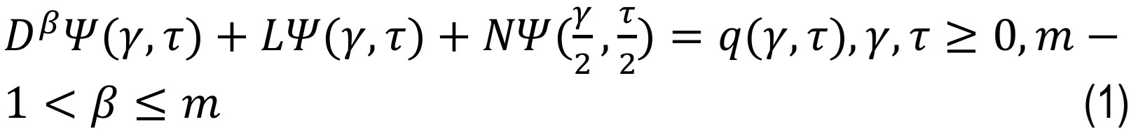
The Sumudu decomposition method used to find the general solution to the fractional order partial differential equations with proportional delay,
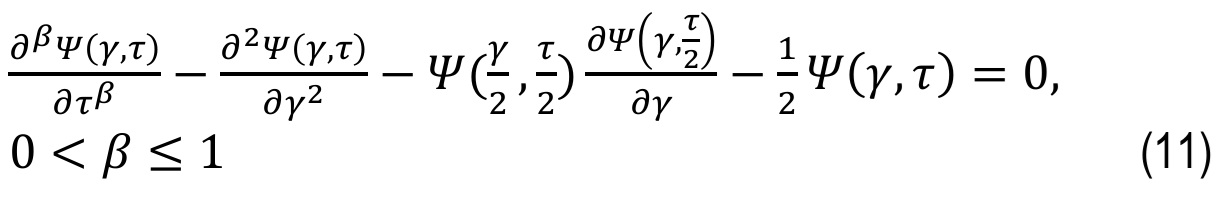
Where L and N are the linear and nonlinear functions, D β = ∂β/∂γβ is the Caputo operator, q is the source function, β, m ∈ ℕ.
With initial condition,
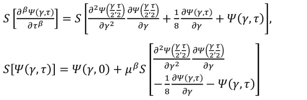
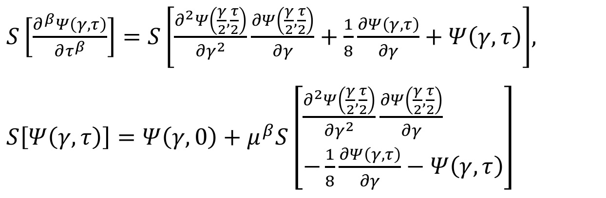
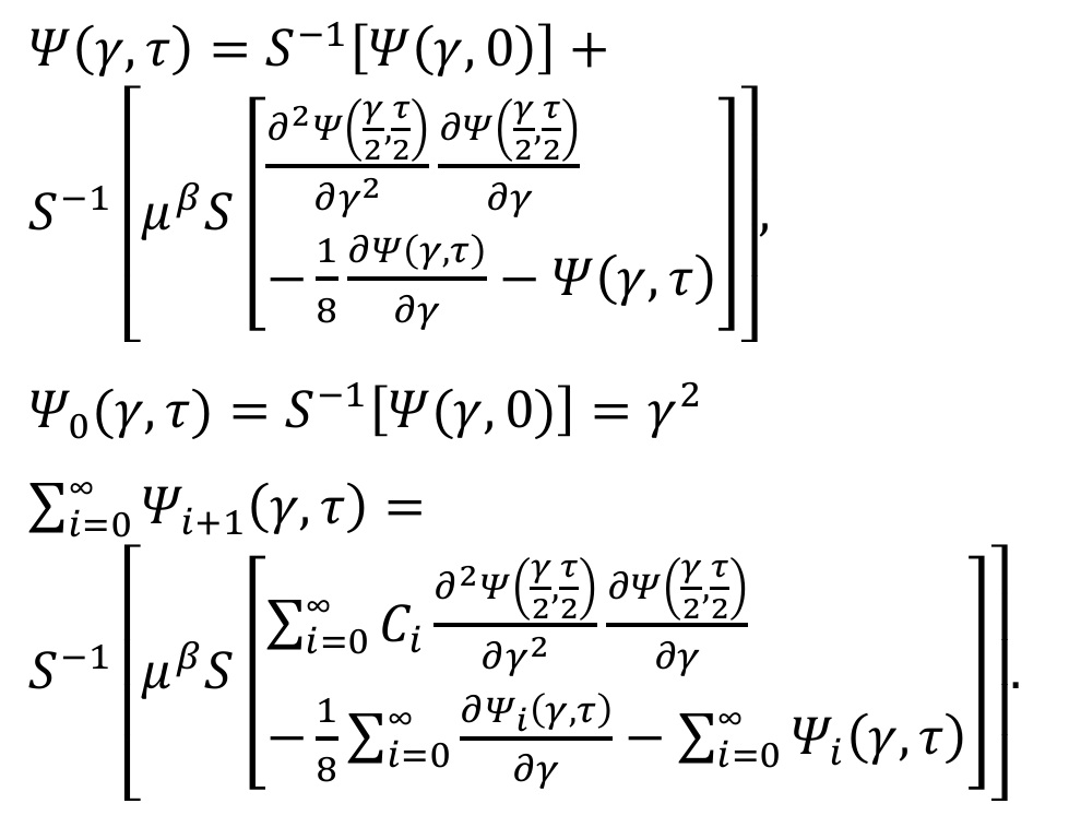
Applying Sumudu transform to eq. (1),
Using some properties of Sumudu transform we get;
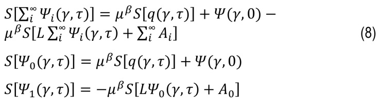
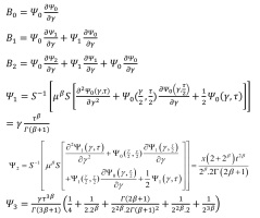
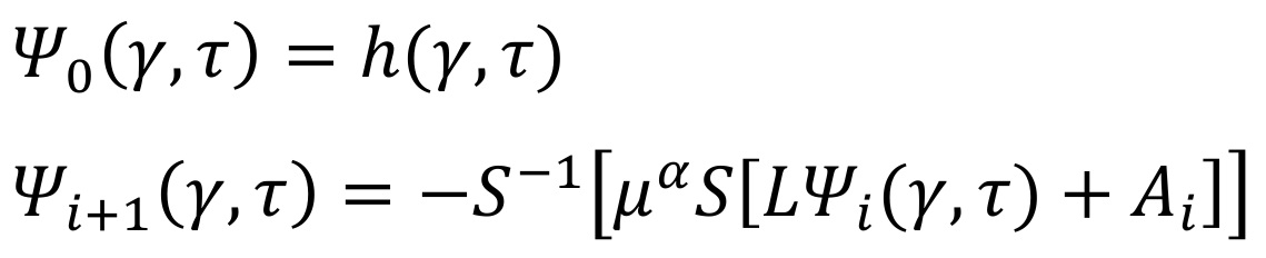
The standard Sumudu decomposition method defined the solution as power series given by,
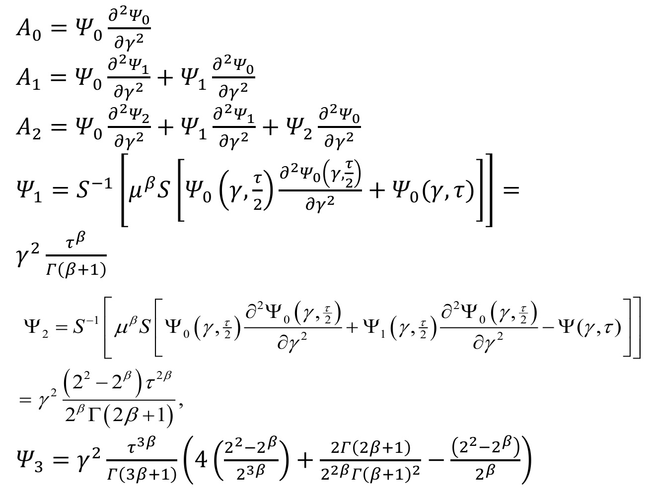
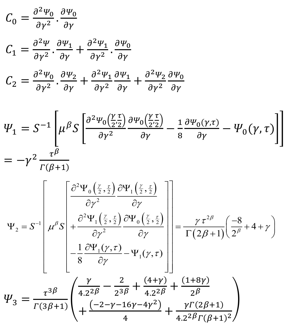
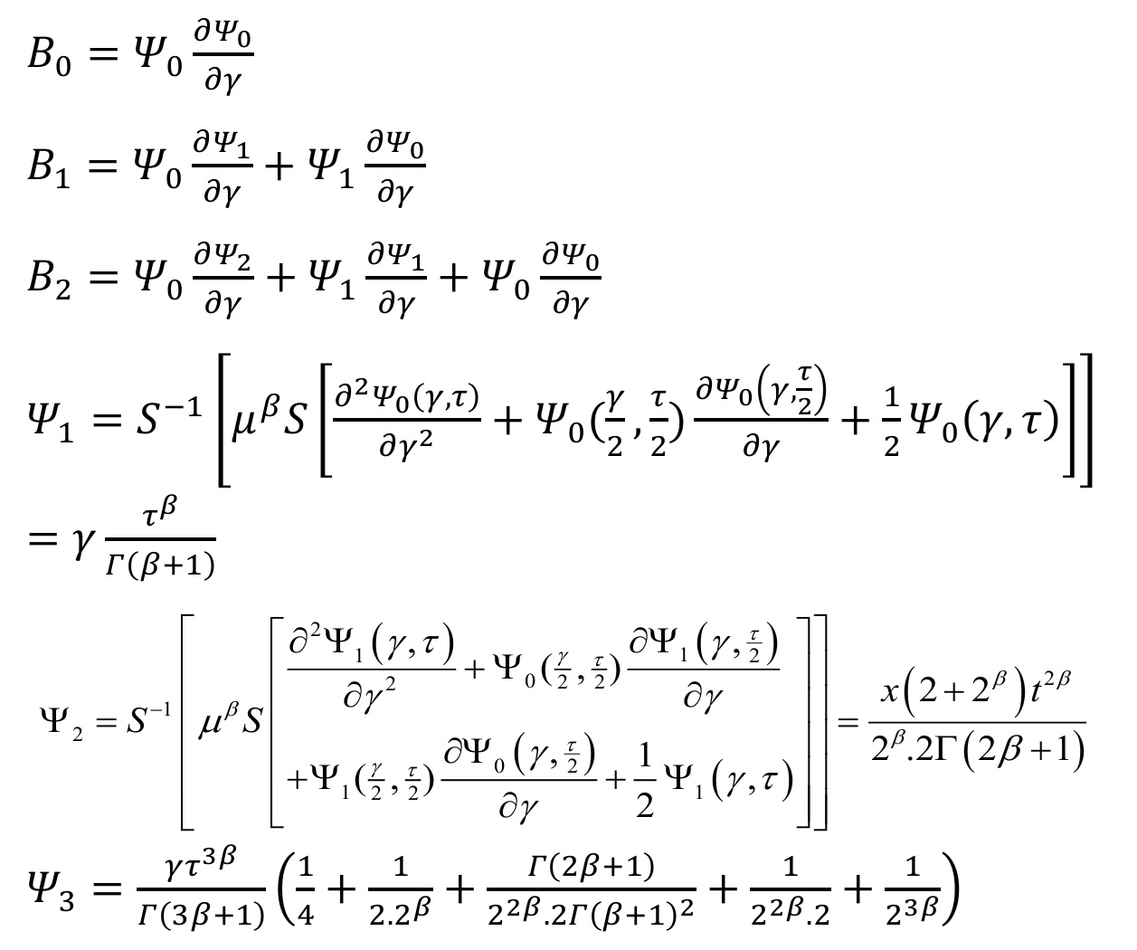
The nonlinear term can be decomposed,
where A i is a domain polynomial of ψ0, ψ1, ψ2, ..., ψn and can be calculated by the formula
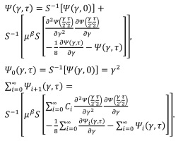
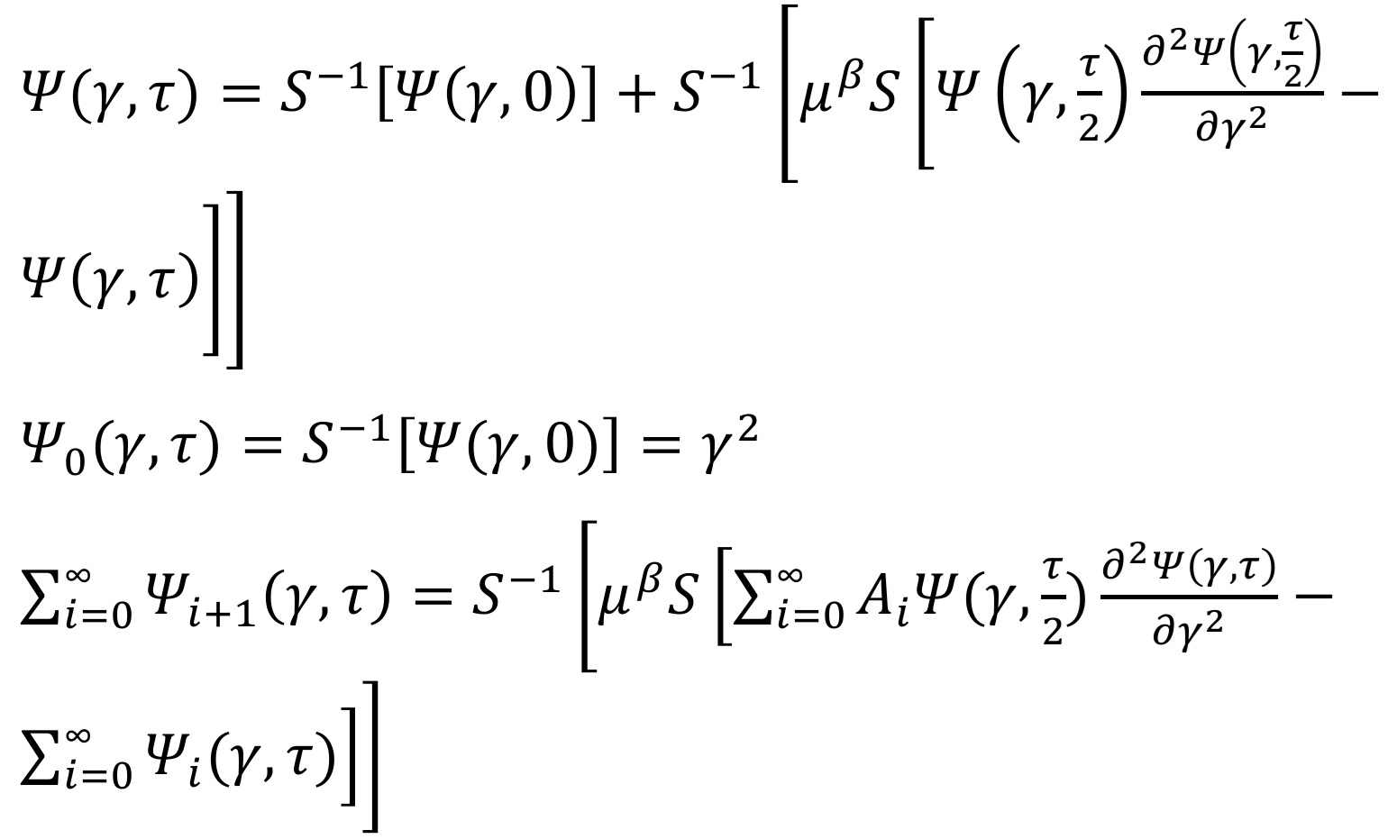
Substitute (5), (6) in eq. (4) to get,
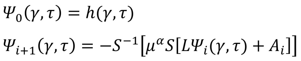
Generally,
The inverse Sumudu transform give:
Numerical Examples
In this section we apply the Sumudu decomposition method to time-fractional order partial differential equations with proportional delay.
Example 1.
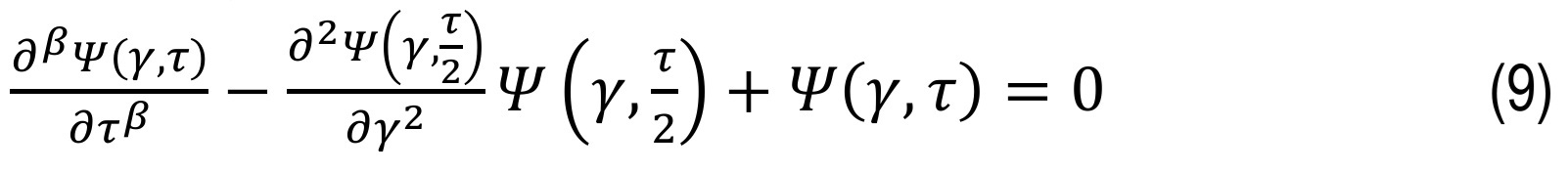
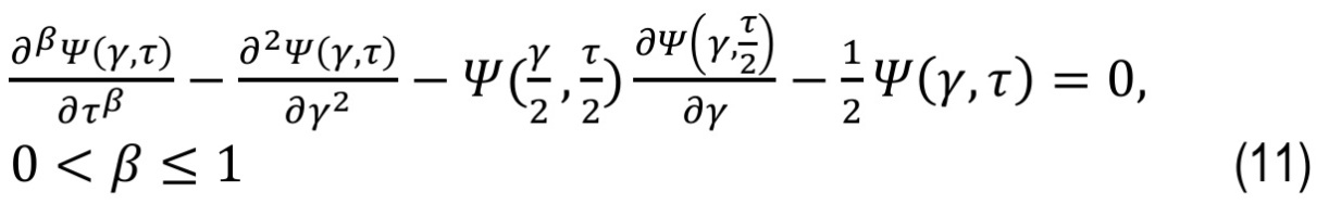
Consider the fractional partial differential equation with proportional delay,
With initial condition:
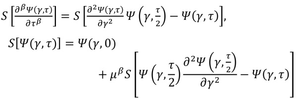
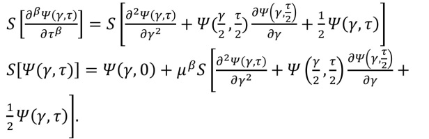
Applying Sumudu transform on both side of eq. (9) with initial condition (10):
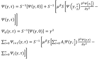
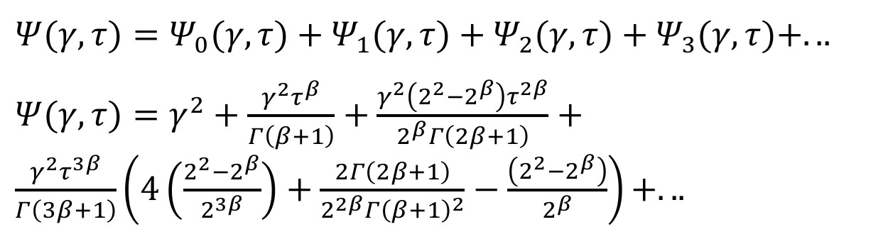
Taking inverse of Sumudu transform,
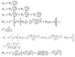
where
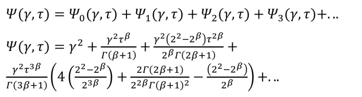
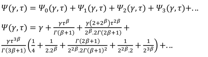
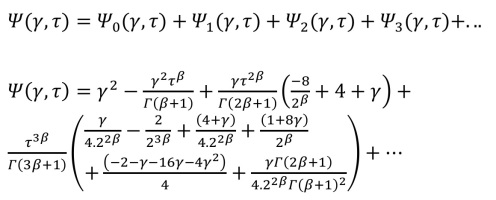
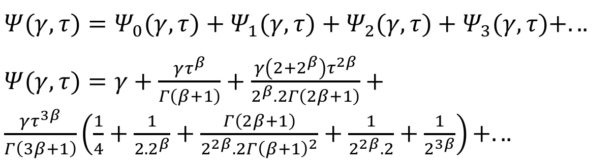
The series solution is given by:
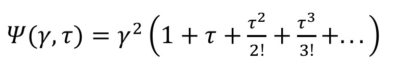
when β = 1 then the solution of Sumudu decomposition of eq. (9) is:
Then the exact solution is:
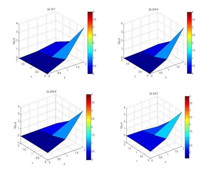
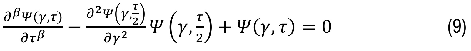
Fig. 2. The approximate solution Ψ(γ, τ) for different values (a) β = 1, (b) β = 0.9, (c) β = 0.8 and (d) β = 0.7 of test example 1
Example 2.
Consider the proportional delay of generalized Burgers equation:
with initial condition,
Applying Sumudu transform on both side of eq. (11) and initial condition (12):
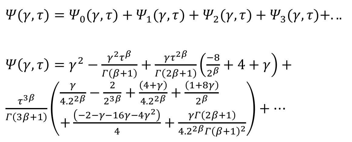
Taking inverse of Sumudu transform,
where
The series solution is given by:
when β = 1 then the solution is:
The exact solution is:
Fig. 4. The approximate solution Ψ(γ, τ) for different values (a) β = 1, (b) β = 0.9, (c) β = 0.8 and (d) β = 0.7 of test example 2
Example 3.
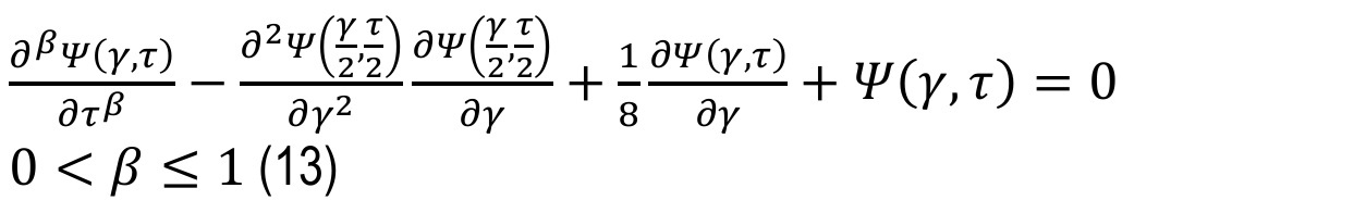
Consider the telegraphfractional partial differential equation with proportional delay,
with initial condition,
Applying Sumudu transform on both side of eq. (13) with initial condition (14),
Taking inverse of Sumudu transform,
where
Then the series solution is given by;
when β = 1 then the solution of Sumudu decomposition of eq. (13) is:
The exact solution is
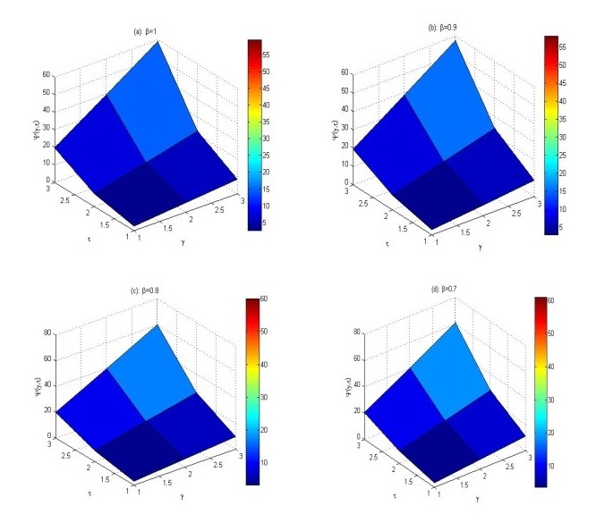
Fig. 6. The approximate solution Ψ(γ, τ) for different values (a) β = 1, (b) β = 0.9, (c) β = 0.8 and (d) β = 0.7 of test example 3
Tab. 1
Numerical solution of the Sumudu decomposition method for eq. (9) for β = 0.7, 0.8, 0.9, 1
Tab. 2
Numerical solution of the Sumudu decomposition method for eq. (11) for β = 0.7, 0.8, 0.9, 1
Tab. 3
Numerical solution of the Sumudu decomposition method for eq. (13) for β = 0.7, 0.8, 0.9, 1
Discussion
In Figure 1 and Figure 2 represents the exact solution and approximate numerical solution for different values of fractional order (a)β=1,(b)β=0.9,(c)β=0.8and(d)β=0.7of the derivatives are calculated for Example 1. The analysis shows that there is a strong convergence of the exact and approximate solutions of Example 1. In figure 3 and figure 4 represents the exact solution and approximate numerical solution for different values of fractional order (a)β=1,(b)β=0.9,(c)β=0.8and(d)β=0.7of the derivatives are calculated for Example 2. Approximate solutions when (a)β=1,(b)β=0.9,(c)β=0.8and(d)β=0.7 were shown and compared to the exact solutions in the tables 1-3, and errors were also calculated.
The analysis shows that there is a strong convergence of the exact and approximate solutions of Example 2. In figure 5 and figure 6 represents the exact solution and approximate numerical solution for different values of fractional order (a)β=1,(b)β=0.9,(c)β=0.8and(d)β=0.7 of the derivatives are calculated for Example 3. The analysis shows that there is a strong convergence of the exact and approximate solutions of Example 3.
Conclusion
In this paper a combination of Sumudu transform with decomposition method are presented to solve nonlinear fractional partial differential equation with proportional delay, the solution determined for integer and fractional problems the solution we obtain is agree with [7], some examples are solved to determine the simplicity and efficiency of the method, the technique can be used to find analytical solution of kinds of nonlinear fractional partial differential equation.














































